网站地图
│
联系我们
│
所长信箱
│
内部网
│
English
│
中国科学院
首页
│
概况简介
│
800彩票概况
│
研究队伍
│
科研成果
│
实验观测
│
合作交流
│
研究生教育
│
学会学报
│
图书馆
│
党群工作
│
创新文化
│
科学传播
│
信息公开
新闻动态
图片新闻
头条新闻
通知公告
学术活动
综合新闻
科研动态
工作进展
研究亮点
视频
学术前沿
您现在的位置:
首页
>
新闻动态
>
研究亮点
研究亮点
陈林等-Nature Communications:青藏高原形成的地壳流...
2017-07-20
印度与亚洲大陆之间的碰撞造就了现今地球上最大、最高的高原—青藏高原(图1a)。自Argand(1924)提出印度地壳整体性下插到青藏高原之下的模型算起,近百年的研究为我们理解高原的构造演化积累了丰富的观测数据。然而,对青藏高原如何形成的问题仍然没有取得一致的...
查看详细>>>>
孙伟家等-GRL:华北克拉通西部和中部的中岩石圈不连续面
2017-07-13
地球呈圈层结构,岩石圈是地球最外层的坚硬岩石层。岩石圈主要的间断面是莫霍面和岩石圈底界面。地震学家Hale最早在1969年在北美克拉通岩石圈地幔内部发现了一条间断面,并且近年来,研究者相继报道了这条间断面存在于全球主要克拉通岩石圈地幔中。该间断面深度范围...
查看详细>>>>
王浩等-Lithos:俯冲带大陆地壳生长:来自桐柏造山带花...
2017-06-27
地球是目前已知的所有太阳系行星中唯一一个具有大陆地壳的行星,因此,大陆地壳的形成与演化研究一直是固体地球科学领域最重要的科学问题之一。由于大陆地壳在元素组成特征上与现今岛弧岩浆岩具有极大的相似性,一般认为大陆地壳形成于与俯冲作用有关岩浆弧环境...
查看详细>>>>
左昕昕等-PNAS:微体化石分析新方法揭示约一万年前水稻...
2017-05-31
水稻(Oryza sativa L.)是目前世界上最重要的粮食作物之一,全球超过半数以上人口以水稻为食。古往今来,稻作农业为中华文明的发展和繁荣提供了重要的物质和文化的基础。而关于水稻是何时、何地、在什么环境下开始驯化等问题一直是国际学术界关注的热点。 浙江...
查看详细>>>>
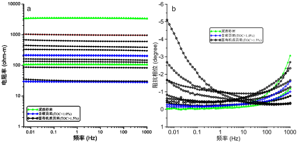
何兰芳等-Geophysics:岩石物理研究揭示上扬子页岩气的...
2017-05-26
美国的页岩气革命不仅改变了美国的能源格局,而且还在全球范围内掀起了页岩气的研究热潮。中国被誉为世界上页岩气资源潜力最大的国家之一,上扬子地区拥有我国一半以上的页岩气可采资源量,是我国页岩气勘探开发的主战场。但该地区复杂的地形地质条件制约了地震...
查看详细>>>>
李友连等-Chemical Geology:胶北古元古代淡色花岗岩岩...
2017-04-28
淡色花岗岩具有极低的暗色矿物含量(≤5%),是一种特殊的花岗岩类型。由于淡色花岗岩通常与碰撞造山过程有关,且常伴生有W、Sn、Nb和Ta等重要的稀有金属矿床,因此淡色花岗岩的岩石成因研究备受关注。淡色花岗岩具有高的铝饱和指数(A/CNK ≥ 1.1),且含有石榴...
查看详细>>>>
王新等-JGR:利用ScS多次波研究日本海及其邻近区域地幔...
2017-04-26
地幔过渡带是指地下410-km和660-km不连续面(间断面)之间的地幔部分,是联系上下地幔的纽带。俯冲的海洋岩石圈和地幔过渡带之间的相互作用是地球动力学研究的一个关键问题。通过对410-km和660-km间断面深度的探测,可以为了解地幔温压条件、物质组分、岩石圈深...
查看详细>>>>
共200页
首页
上5页
上一页
121
122
123
124
125
下一页
下5页
尾页
地址:北京市朝阳区北土城西路19号 邮 编:100029 电话:010-82998001 传真:010-62010846
版权所有© 2009- 800彩票
京ICP备05029136号
京公网安备110402500032号