美国的页岩气革命不仅改变了美国的能源格局,而且还在全球范围内掀起了页岩气的研究热潮。中国被誉为世界上页岩气资源潜力最大的国家之一,上扬子地区拥有我国一半以上的页岩气可采资源量,是我国页岩气勘探开发的主战场。但该地区复杂的地形地质条件制约了地震勘探的应用和效果,使得电磁勘探法已成为主要的页岩气勘探和评估方法之一。然而,作为电磁法勘探应用基础的页岩气电磁学研究起步较晚,上扬子页岩气的电磁学特征与机理至今还未有清晰的认识,在一定程度上制约了电磁法的推广应用和勘探效果。
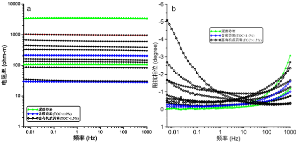
800彩票博士后何兰芳、陈凌研究员、成都理工大学王绪本教授、中国地质调查局成都地质矿产研究所汪正江教授及其合作者通过岩石学和电磁学交叉研究揭示了上扬子地区页岩气赋层-富有机质页岩的电磁学特征及其成因机理。研究结果表明:上扬子地区富有机质页岩具有低电阻率和高极化率的电磁学特征,高极化特征主要表现在频率小于1赫兹的低频段(图1)。经典的ΔlogR-TOC模型不适合上扬子地区的总有机碳(TOC)描述,上扬子地区富有机质页岩TOC含量与电阻率成反比(图2)。阻抗相位(代表极化率)可用于表征富有机质页岩的岩石学特征,与TOC、黄铁矿含量正相关,该项研究首次发现了石英含量和阻抗相位存在正相关关系。由于TOC、石英含量和黄铁矿含量都是页岩气评价的关键因素,因此岩石电磁学研究可建立页岩气电磁异常与储层评价之间的联系,并在此基础上开发页岩气甜点识别的新方法。

图1 砂岩、含碳页岩和富有机质页岩的复电阻率(a)和阻抗相位(b)曲线

图2 上扬子富有机质页岩总有机碳含量(TOC)和电阻率的对应关系(a: 岩芯, b: 测井)
这一研究结果近期发表在勘探地球物理权威期刊Geophysics (He et al. Electrical properties and its correlation to the petrology of the Upper Yangtze organic shales. Geophysics, 2017, 82 (4): D199–D209)。
原文链接