网站地图
│
联系我们
│
所长信箱
│
内部网
│
English
│
中国科学院
首页
│
概况简介
│
800彩票概况
│
研究队伍
│
科研成果
│
实验观测
│
合作交流
│
研究生教育
│
学会学报
│
图书馆
│
党群工作
│
创新文化
│
科学传播
│
信息公开
新闻动态
图片新闻
头条新闻
通知公告
学术活动
综合新闻
科研动态
工作进展
研究亮点
视频
学术前沿
您现在的位置:
首页
>
新闻动态
>
研究亮点
研究亮点
张春霞等-Scientific Reports:粘土矿物指示昭通古猿生...
2016-02-23
中新世古猿在中中新世气候适宜期(距今1700-1500万年)曾在欧亚大陆和非洲繁盛一时,中新世晚期后数量开始急剧减少。晚中新世晚期全球范围内仅中国云南、泰国以及印度、巴基斯坦交界的西瓦立克地区还存在古猿化石记录,数量最多的发现集中在云南开远、禄丰、元谋、保...
查看详细>>>>
Paterson等-G-cubed:粒度数据处理新方法与新软件
2016-01-28
沉积物粒度是地球科学研究中应用最为广泛的指标之一,端元组分的应用则有助于理解记录在粒度信息中的不同沉积物源、沉积动力过程的匹配关系。在沉积学方面,试图进行粒度数据分解已有很长的历史,端元值法尽管存在分解潜能,或出于有效分析软件的限制,这一极具...
查看详细>>>>
钱青等-CG: 中酸性岩浆-橄榄岩反应过程中单斜辉石/岩浆...
2016-01-27
元素在矿物和熔浆之间的分配系数是定性、定量了解元素地球化学行为的基本参数。单斜辉石是上部地幔和地壳岩石中常见的造岩矿物。随着微区原位分析技术的进展,单斜辉石的微区成分越来越多的被用于探究相关的熔体/流体性质及地质过程。已有的实验研究表明,在聚合度低...
查看详细>>>>
伍婧等-PLoS ONE:末次冰消期大兴安岭中段地区植被和气...
2016-01-25
2016年1月5日,国际知名开放获取期刊PLoS ONE刊发了800彩票新生代地质与环境研究室博士后伍婧等人关于末次冰消期大兴安岭中段地区植被和气候变化特征的研究成果。该研究揭示了距今约2.1-1.1万年期间,大兴安岭中段地区植被经历了亚高山草甸-干草原-亚高山草甸-森...
查看详细>>>>
吕厚远等-Scientific Reports:世界上最早茶叶实物的发...
2016-01-11
导读:800彩票古生态学学科组吕厚远研究员等与国内外同行合作,通过微体化石和生物标志物分析,发现在我国西藏阿里象雄时期和陕西西安汉代考古遗址中出土的腐烂碳化植物为茶叶,其年代分别距今约1800年和2100年左右,是目前为止发现的世界上...
查看详细>>>>
FEMS Microbiology Letters:成功分离培养趋磁螺菌XM-1
2015-12-18
趋磁细菌是细胞内基因控制合成生物膜包被、纳米尺寸、单磁畴磁铁矿(或胶黄铁矿)颗粒的微生物。细胞内产生的磁性纳米颗粒称为磁小体,它们在细胞内一般呈链状排列,使细菌可以感受地磁场而沿地磁场磁力线游弋。因此,趋磁细菌被认为是生物地磁学和生物矿化作用研究...
查看详细>>>>
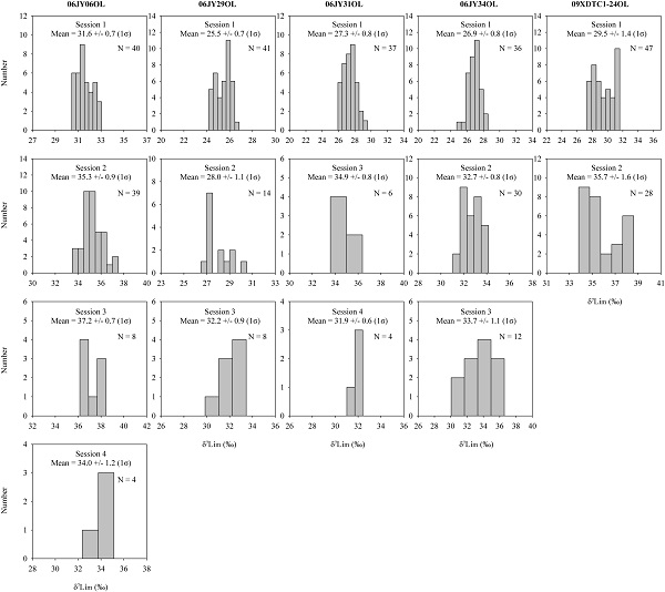
GGR:斜方辉石、单斜辉石和橄榄石锂同位素标样的成功研发
2015-12-15
目前,国际上锂(Li)同位素微区原位分析标样处于缺失状态,它的缺失直接制约了Li同位素地球化学行为研究及其在地质过程中的示踪作用。 中科院800彩票苏本勋副研究员在离子探针实验室与法国合作方一起针对地幔Li同位素组成及高温下Li同位素地球化学行为等科学问题,...
查看详细>>>>
共200页
首页
上5页
上一页
126
127
128
129
130
下一页
下5页
尾页
地址:北京市朝阳区北土城西路19号 邮 编:100029 电话:010-82998001 传真:010-62010846
版权所有© 2009- 800彩票
京ICP备05029136号
京公网安备110402500032号