网站地图联系我们所长信箱内部网English中国科学院
 
 
首页概况简介800彩票概况研究队伍科研成果实验观测合作交流研究生教育学会学报图书馆党群工作创新文化科学传播信息公开
  新闻动态
  您现在的位置:首页 > 新闻动态 > 研究亮点
研究亮点    
Fig.3s.jpg
许晨曦等-QSR:亚洲季风区树轮氧同位素的气候信号 2021-10-28
     大气降水氧同位素受到亚洲夏季风的影响,因此亚洲季风区不同地质记录(石笋、湖泊、泥炭、冰芯、树轮等)中的氧同位素被用来指示亚洲夏季风的变化。我国季风区不同地点的石笋氧同位素在轨道和亚轨道尺度具有较好的一致性变化,很可能反映了大尺度环流的变化,但其气...
   查看详细>>>>
Fig.3s.jpg
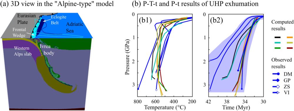
王欣欣等-JGR:双俯冲-碰撞带高压-超高压岩石折返的动... 2021-10-26
     双俯冲带普遍暴露出大陆边缘高压-超高压变质地体,这一现象受到地质学家的广泛关注和深入研究。台湾造山带和阿尔卑斯造山带均形成于极性相反的双俯冲-碰撞体系,却暴露出不同的高压和高压-超高压变质岩类型(图1)。然而,该体系下大陆边缘俯冲、碰撞和折返的动力学...
   查看详细>>>>
Fig.2s.jpg
胡森等-Nature:嫦娥五号玄武岩揭示了一个很“干”的月幔 2021-10-19
     水是生命之源   地球之所以独特,在于她是太阳系唯一有海洋、湖泊、河流的星球。水是生命之源,是行星宜居的标志,因此行星是否有水是太阳系与系外生命探测的首要目标。我们所熟悉的水(H2O),它在1个大气压强下,100℃时会变成水蒸汽,在0℃时会结成冰块。更广义上...
   查看详细>>>>
Fig.4s.jpg
田恒次等-Nature:“失踪”的克里普——嫦娥五号月海玄... 2021-10-19
     你可能从未听说过克里普,但是它却是月球科学家关注的焦点之一。   克里普因为富集钾(K)、稀土(REE)、磷(P)(缩写KREEP,即克里普)而得名。月球形成和演化理论认为,月球形成之初,曾被深达数百公里的岩浆洋覆盖。随着岩浆洋的不断结晶,不相容元素,如:铀(U...
   查看详细>>>>
Fig.5s.jpg
李秋立等-Nature:嫦娥五号月球样品记录的20亿年前月球... 2021-10-19
     月球作为地球的唯一卫星,从出生到现在都与地球有千丝万缕的联系,研究月球的成因和演变等方面的信息,有助于了解地球的早期状态和可能的后期演变,有助于理解空间现象和地球自然现象之间的关系,有助于探索地球上没有的资源,可以极大地丰富人们对地球乃至太阳系特...
   查看详细>>>>
Fig.1s.jpg
褚杨/万博等-Tectonics+ESR:伊朗特提斯演化——一条造... 2021-10-15
     造山带是板块构造中最为活跃的单元。通常,一条造山带新生于刚性板块间的汇聚和挤压作用之下,在板块碰撞拼合之后,由于其身处板块内部,会因为风化剥蚀作用逐渐地销声匿迹。几千万或几亿年之后,在外部新的板缘构造体系的驱动下,这条古老的造山带会再次活动,形成...
   查看详细>>>>
Fig.2s.jpg
綦超等-JGR:晶粒尺寸对冰的“位错蠕变”的影响的实验研究 2021-10-12
     冰川与冰盖中冰的流动被广泛认为是由位错蠕变这一变形机制所控制的。位错蠕变是一种应变率与应力的n次方成正比,与晶粒尺寸无关的变形机制。过去,研究者广泛认为n的经验值为3。然而,更多的实验室数据发现n的值应为4。这种n值上的差异很可能是不同研究者实验方式或...
   查看详细>>>>
共200页  首页上5页上一页7172737475下一页下5页尾页
地址:北京市朝阳区北土城西路19号 邮 编:100029 电话:010-82998001 传真:010-62010846
版权所有© 2009- 800彩票 京ICP备05029136号 京公网安备110402500032号