 |
|
|
|
|
王长乐等-PNAS:元古宙中期地球低氧 2022-02-07
地球的充氧历史是一个漫长复杂的过程。大气氧含量经历了元古宙早期(大氧化事件,2.45-2.2 Ga)和晚期(新元古代氧化事件,0.63-0.54 Ga)两个阶段的提升才接近现今氧水平(PAL)。早期生命在此过程中完成了从原核生物到真核生物再到动物的进阶演变。长期以来,地球表...
查看详细>>>> |
|
|
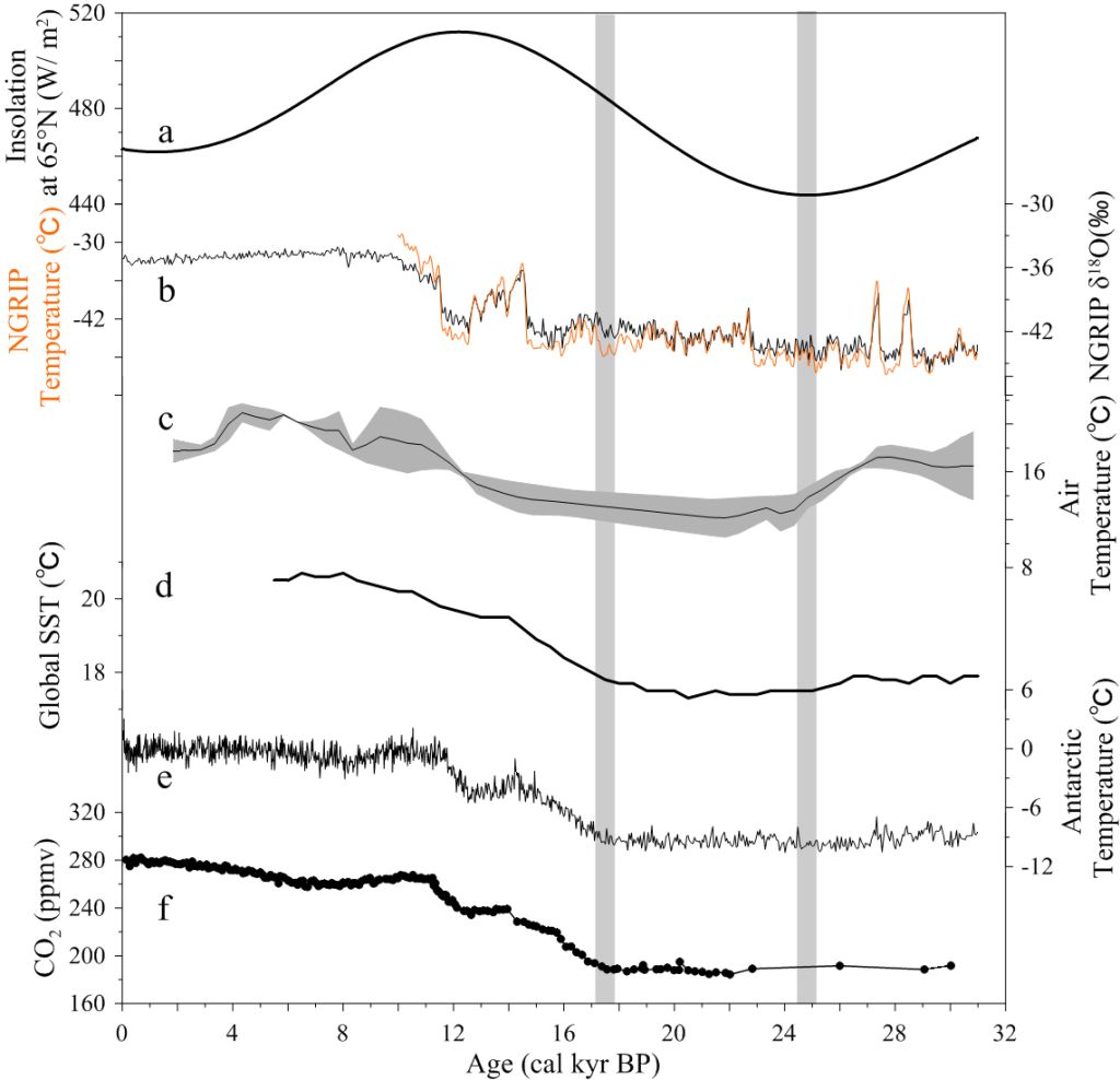
孙敏敏等-QSR:华北平原3万年来温度和水文重建 2022-01-29
东亚夏季风是全球季风环流系统的重要组成部分,在南北半球间的水热传输中扮演着重要角色,其带来的降水影响着数十亿人口的生产和生活。有学者认为东亚夏季风随全球变暖减弱,也有学者认为其随全球变暖而增强。因此,查明古全球变暖背景下东亚夏季风的变化是评估未来...
查看详细>>>> |
|
|
邓晨等-JGR:海岭俯冲对岛弧岩浆地球化学特征的影响 2022-01-25
俯冲板片与上覆板块之间的相互作用决定了地震分布、地幔流模式、上覆板块应力和岩浆的地球化学特征。海岭(包括扩张洋中脊、无震海岭、洋底高原和残余弧脊)广泛分布于现代大洋,其面积约占现代大洋地壳总面积的30%。它们均可沿着汇聚板块边缘发生俯冲作用。相比于...
查看详细>>>> |
|
|
卫钦迪等-JAAS:LA-SF-ICP-MS符山石原位U-Pb定年 2022-01-20
符山石( (Ca,Na)19(Al,Mg,Fe)13(SiO4)10(Si2O7)4(OH,F,O)10 )是矽卡岩矿床、变质和交代泥质碳酸盐岩中常见的矿物,同时也见于一些碱性侵入岩体中,如霞石正长岩。虽然产出的岩石类型丰富,但是符山石依然是“所有造岩矿物中最不为人知的”。由于符山石的晶体结构复...
查看详细>>>> |
|
 |
|
|