目前,国际上锂(Li)同位素微区原位分析标样处于缺失状态,它的缺失直接制约了Li同位素地球化学行为研究及其在地质过程中的示踪作用。
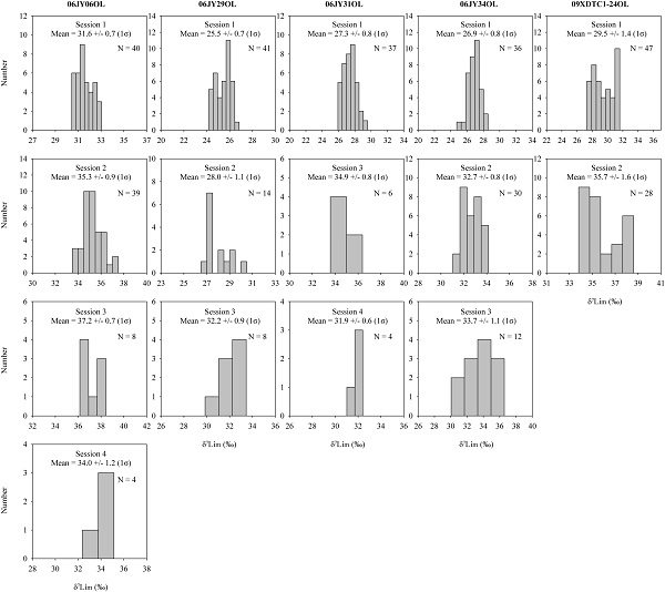
中科院800彩票苏本勋副研究员在离子探针实验室与法国合作方一起针对地幔Li同位素组成及高温下Li同位素地球化学行为等科学问题,开展了标样研制工作。经过5年的研究,在进行了大量电子探针分析的基础上,对一批斜方辉石、单斜辉石和橄榄石样品进行了详细的离子探针分析,其中有3个斜方辉石、3个单斜辉石和5个橄榄石样品具有均一的Li同位素组成,每个样品的δ7Li测试值均在3‰~5‰的变化范围内(图1)。与此同时,法国合作者也在其实验室进行了Li同位素均一性检验,得到了相同的结果。因此,这些样品可以作为Li同位素标样。同时他们的研究结果揭示了橄榄石的Mg#值对Li同位素测试基体效应为1‰(图2)。这些标样的成功研发将对Li同位素地球化学及地质过程示踪研究起到极大的推动作用。

图1 橄榄石的Li同位素均一性检验结果

图2 矿物Mg#对Li同位素测试的基体效应
该成果近期发表在国际期刊Geostandards and Geoanalytical Research (Su et al. Potential orthopyroxene, clinopyroxene and olivine reference materials for in situ lithium isotope determination. Geostandards and Geoanalytical Research, 2015, 39: 357-369)上。
原文链接