 |
|
|
|
|
JGR:华北克拉通破坏动力学过程的数值检验 2014-10-11
从地热学角度来看,克拉通岩石圈的稳定意味着地表热流等于对流地幔在岩石圈底部提供的热流加上岩石圈内部由放射性衰变产生的热量。太古代稳定克拉通一般具有冷的地热特征且处于热平衡状态,克拉通破坏意味着热平衡的破坏。由于目前还不存在中生代地幔柱证据,热源问...
查看详细>>>> |
|
|
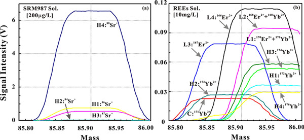
JAAS:超微细硫化物颗粒的高精度硫同位素分析 2014-09-15
硫化物是自然界中常见的一类矿物,其形成往往与地质运动或生命活动相关。硫化物中的硫同位素组成是示踪生命活动,厘定地质过程的重要依据。传统离子探针硫同位素分析精度虽然可以达到0.1-0.2 ‰,但其束斑一般为10-30 μm,不适用于微生物活动相关的微细硫化物颗粒(...
查看详细>>>> |
|
 |
|
|