网站地图联系我们所长信箱内部网English中国科学院
 
 
首页概况简介800彩票概况研究队伍科研成果实验观测合作交流研究生教育学会学报图书馆党群工作创新文化科学传播信息公开
  新闻动态
  您现在的位置:首页 > 新闻动态 > 研究亮点
研究亮点    
Fig.1.jpg
李昊等-OGR:揭示我国新发现的世界最大的铅锌碳酸盐矿... 2019-03-06
     火烧云铅锌矿是近几年在新疆和田地区新发现的超大型沉积岩容矿型铅锌矿床,铅锌资源量超过1800多万吨,是我国的最大、亚洲第二大铅锌矿床,也是世界上最大的铅锌碳酸盐矿床,它的成因机制问题是一个备受关注的科学问题。   矿产资源研究院重点实验室李昊博士研究生,在...
   查看详细>>>>
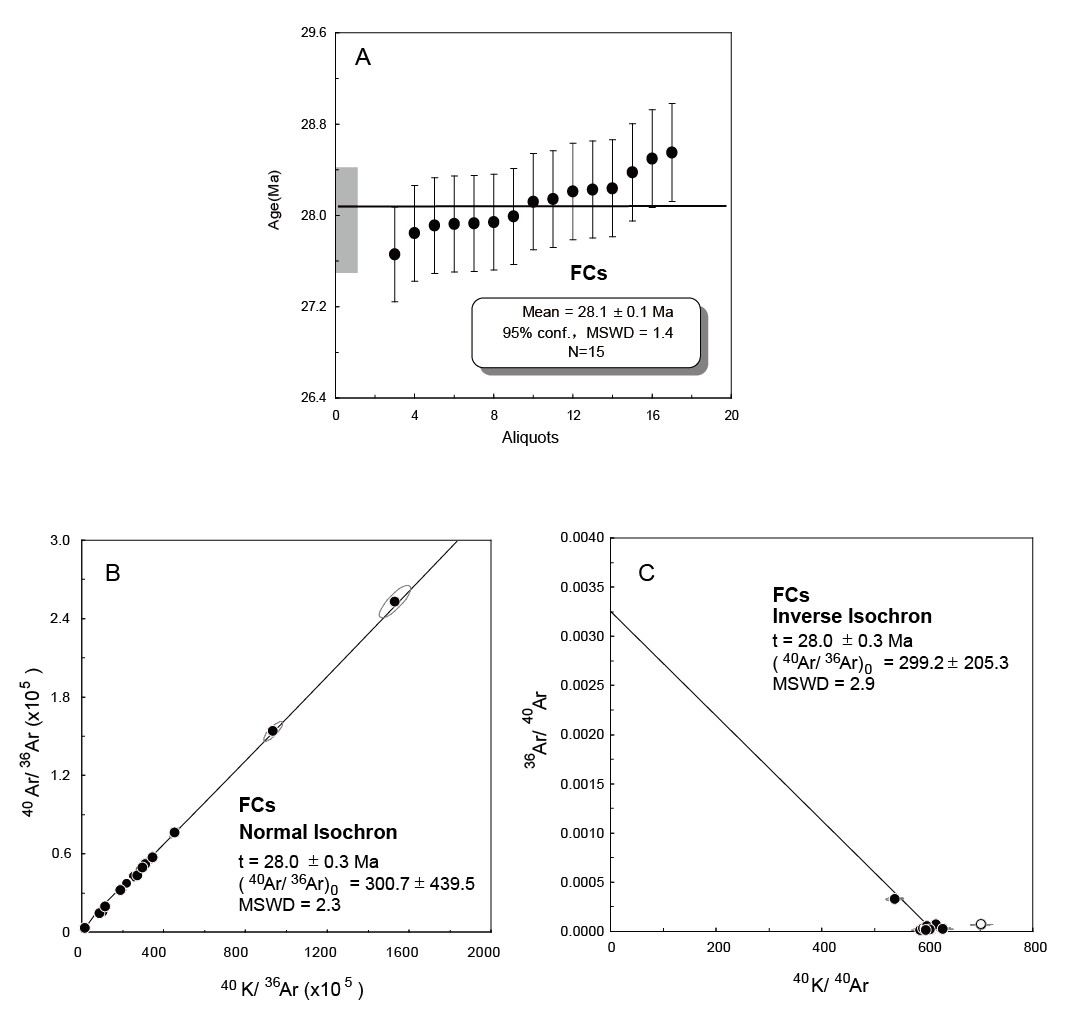
Fig.jpg
王非等-RCM:激光无稀释剂K-Ar法: 一种新的Ar定年法 2019-03-01
     由于样品照射产生的问题,40Ar/39Ar法难以测定黏土类细粒矿物(伊利石、蒙脱石、绿帘石、氧化物、地外行星物质、卤水矿物等)、高铁类矿物(黄铁矿、磁铁矿等),严重制约了40Ar/39Ar法在沉积地层、金属成矿、油气成藏、风化历史、卤水成矿、洋底锰结核、月球样品、...
   查看详细>>>>
封面.jpg
蔡垚等- Nanoscale:磁性铁蛋白纳米颗粒用于磁共振血管... 2019-02-21
     磁共振成像(MRI)因其具有高的空间分辨率和无创伤性已成为现代医学临床影像诊断中使用的一项重要技术。高品质磁共振造影剂是增强磁共振成像效果的关键环节。针对动脉粥样硬化、心肌梗死等心血管疾病诊断的磁共振血管成像术,特别是利用安全高效造影剂来增强磁共振血管...
   查看详细>>>>
图2.png
许晨曦等-STTE:我国西南地区干旱加剧及其与印度洋海温... 2019-02-01
     近年来,我国西南地区旱灾频发,对该区域的农业、经济和人民生活造成了巨大的影响。目前,对于干旱发生的原因以及未来变化的预估,学术界仍存在争议,主要原因是器测记录较短,且近50年来气候变化受到人类活动的影响,难以准确获得长尺度以及自然状态下的气候变化信...
   查看详细>>>>
Figure.1.jpg
李昌昊等-OGR&JAES:哈萨克斯坦阿克斗卡超大型斑岩铜矿... 2019-01-24
     斑岩型铜矿是世界重要矿床类型之一,为世界提供着巨量的Cu(~80%)、Au(~20%)和其他伴生金属元素(如Re),并因其规模大、易开采、伴生元素丰富长期受到矿床学家们的关注。前人根据中-新生代斑岩铜矿的研究提出了较为成熟的斑岩铜矿浅部成矿过程理论,但对于古生...
   查看详细>>>>
Fig.2.jpg
旺罗等-JGR:新仙女木事件持续千年的新机制及其气候效应 2019-01-03
     新仙女木事件是末次冰消期气候变暖过程中发生的大幅度降温事件,寒冷气候持续长达1300年,是第四纪最著名、研究最多的气候突变事件。“冰湖溃决一次性淡水注入北大西洋,导致温盐环流中断(减弱)”的主流观点虽能解释该事件的触发机制;但数值模拟结果均显示,一旦...
   查看详细>>>>
Fig.1.jpg
许晨曦等-IJC:泰国季风降水的变化历史及其与厄尔尼诺... 2018-12-29
     季风降水的年际变化规律是重要的科学问题,预测未来降水对季风区的农业、经济和人民生活也具有重要的现实意义。前人以泰国为例指出,ENSO(厄尔尼诺-南方涛动)现象对季风降水有重要的影响,但两者关系仍然并不确定,其主要原因是器测记录大多开始于20世纪50年代,时...
   查看详细>>>>
共200页  首页上5页上一页106107108109110下一页下5页尾页
地址:北京市朝阳区北土城西路19号 邮 编:100029 电话:010-82998001 传真:010-62010846
版权所有© 2009- 800彩票 京ICP备05029136号 京公网安备110402500032号