高亲铁元素(HSE)因其高金属/硅酸盐分配系数,常富集于地幔中的合金、硫化物等矿物中,是研究地幔过程的重要示踪剂。蛇绿岩中的铬铁矿矿体以富集HSE,特别是铱族铂族元素(IPGE)而闻名,但其对地幔其他岩石及不均一性的影响尚不清楚。锇同位素(Re-Os体系)因能反映地壳-地幔相互作用,成为研究地幔演化的关键工具。然而,蛇绿岩中Os同位素的不均一性及其成因机制仍存在争议。铬铁矿被认为是强亲铁元素的“搜集器”,但铬铁矿如何调控难熔地幔的HSE富集与Os同位素分异尚不清晰。该问题对理解俯冲带地幔演化、壳幔物质循环及铬铁矿成矿机制至关重要。
800彩票苏本勋研究员等选取土耳其东南部的Pozantı-Karsantı和Kızıldağ蛇绿岩为研究对象,采集了35个铬铁矿石样品(图1),对分离出的铬铁矿、硅酸盐基质和磁铁矿开展了HSE含量和Re-Os同位素组成分析。
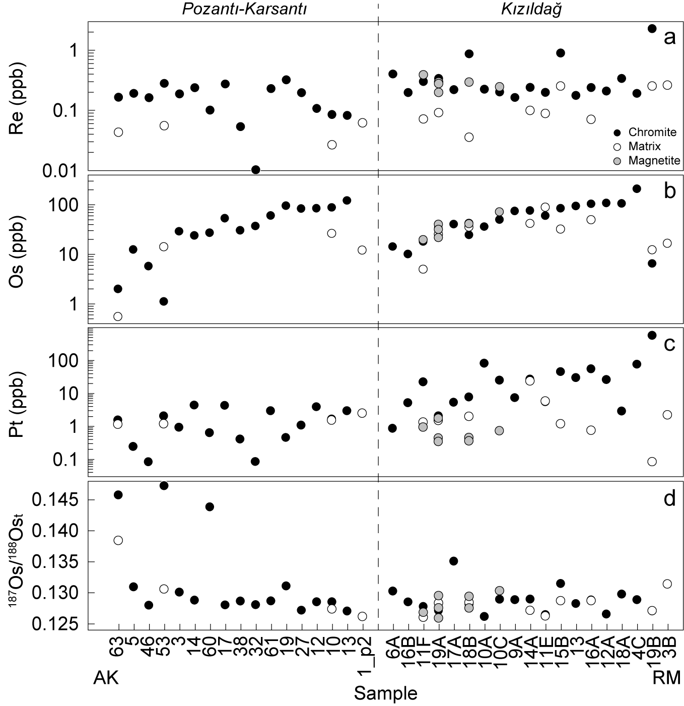
结果显示,铬铁矿部分较硅酸盐基质显著富集HSE(特别是IPGE),但Os同位素组成无明显差异,表明铬铁矿是HSE的主要载体(图2),而铬铁矿石的HSE和Os同位素组成与橄榄岩明显不同(图3)。结合全球蛇绿岩中地幔橄榄岩和铬铁矿石数据,他们建立了“铬铁矿成分控制模型”:HSE含量及分异(如Pt/Ir)与铬铁矿Cr#正相关,高Cr#铬铁矿更易富集IPGE;低Cr#(<45)橄榄岩的HSE-Os同位素符合部分熔融趋势(187Os/188Os随Cr#升高而降低);Cr#>45的橄榄岩HSE变化较大,Os同位素趋向铬铁矿矿体,指向铬铁矿熔体交代作用(图4,图5)。

图1 土耳其蛇绿岩分布、Pozantı-Karsantı和Kızıldağ蛇绿岩地质简图及代表性样品岩石学特征

图2 Pozantı-Karsantı和Kızıldağ蛇绿岩中铬铁矿石不同组分的HSE和Os同位素组成

图3 Pozantı-Karsantı和Kızıldağ蛇绿岩中铬铁矿石和橄榄岩的HSE和Os同位素组成对比

图4 全球蛇绿岩中铬铁矿石和橄榄岩的HSE组成与铬铁矿Cr#的相关性图解

图5 全球蛇绿岩中铬铁矿石和橄榄岩的Re-Os同位素组成与铬铁矿Cr#的相关性图解
该研究厘清了铬铁矿通过其化学组成调控HSE分异,是蛇绿岩地幔HSE和Os同位素变化的关键驱动力。低Cr#橄榄岩反映部分熔融,而高Cr#橄榄岩指示与铬铁矿形成熔体或演化熔体的交代作用。这一发现深化了对蛇绿岩地幔形成机制的理解,为地幔动力学研究提供了新视角,同时为铬铁矿床勘探提供了地球化学依据。
研究成果发表于国际学术期刊GCA (苏本勋,Ibrahim Uysal,Recep Melih Akmaz,潘旗旗,Yılmaz Demir,Lukáš Ackerman,Paul T. Robinson. Chromite as a key player on highly siderophile elements and osmium isotope compositions of the refractory mantle[J]. Geochimica et Cosmochimica Acta, 2025. DOI: 10.1016/j.gca.2025.04.026.)。研究得到国家自然科学基金(42350001和92462305)的资助。