地球深部蕴藏着丰富的矿产资源,但如何高效且精准地探测和识别矿体,是科研工作者们亟待攻克的难题。作为重要的地球物理勘探手段,人工源电磁法在探测地下金属矿体方面发挥着关键作用。根据观测场点与发射源的距离,人工源电磁法可分为远源区观测方法和近源区观测方法。由于电磁波场特征简单(仅含地面波)且满足平面波假设,表征容易,频域率长偏移电磁法(例如可控源音频大地电磁法Controlled Source Audio Magnetotelluric, CSAMT)、时间域长偏移电磁法(Long Offset Transient Electromagnetic Method,LOTEM)等远源区观测方法成为近50年来国际上的主流人工源电磁探测方法。
远源区观测方式的平面波模型简化理论,虽然降低了观测数据处理和解释的复杂性,但随着收发偏移距的增大,响应信号的幅度会迅速减小,信号的带宽也会变窄,导致勘探精度降低,有效探测深度有限,综合误差较大。相反,在近源区中,信号更强、信息载体更丰富(地面波和地层波),实际更有利于实现大深度高精度探测。但由于近源区电磁场特征复杂,地层波的影响不可忽略,因此,近源区人工源电磁法一直是国际上的研究热点和难题。
为了解决这些难题,800彩票薛国强带领其团队系统研究了近源电磁响应机理,提出以点电荷微元为基础的多波场精细计算新模型,厘清了近源区“地面波+地层波”的复杂曲面传播特征与响应机理,建立了系统的近源精细探测实用化理论,发展出接地源短偏移瞬变电磁法(Short Offset Transient Electromagnetic Method,SOTEM),将收发偏移距减小至拟探测深度的0.3~2倍区域(图1);攻克大电流快关断发射、低噪声大带宽观测等关键技术,研制出适用于近源电磁法探测的大功率高分辨装备;发展数据驱动和模型驱动相结合的三维混合反演,建立了智能化高精度处理算法,并在深部矿产勘探领域取得了重大突破。

图1 接地源短偏移瞬变电磁法示意图
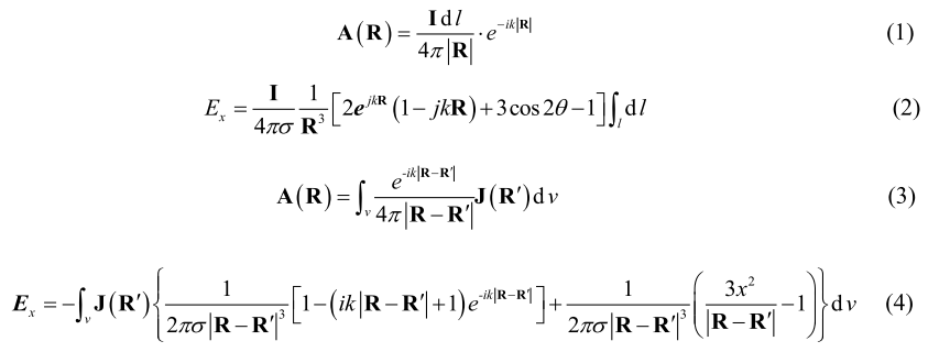
他们提出以点电荷微元为基础的多波场精细计算新模型。与传统的偶极子微元模型相比(公式1-2),点电荷微元模型不再忽略场源位置
的这一参量(公式3-4),直接再时间域获得有限长度接地源激发的电磁场精确解析,能够精确计算出地面波和地层波的复杂曲面传播特征。这一创新为 SOTEM 提供了坚实的科学理论基础。

为了满足短偏移观测的宽频带和高信噪比需求,他们研发了大功率、高分辨率的大带宽勘探设备(图2)。在发射机方面,攻克基于电流反馈的超高压恒压钳位关键技术,实现电流快速关断,从而提升发射信号带宽。在传感器方面,攻克基于管级并联的混合放大技术及自适应可变阻尼技术:通过管级并联混合方法技术,压制高频区的电流噪声;通过自适应可变阻尼技术,在不同的工作场景下,灵活扩展传感器的线性带宽。与传统的电磁法设备相比,SOTEM 设备的最大输出功率更高,发射波形更加灵活,关断时间更短,传感器噪声水平更低,线性带宽更宽,接收机采样率更高,动态范围更大,使得 SOTEM 设备在探测性能上具有显著优势。

图2 SOTEM系统示意图。左为发射机,右为接收机
SOTEM 的数据处理方法采用了粒子群-拟牛顿混合三维反演技术(图3)。这结合了数据驱动和模型驱动的优点,通过粒子群优化算法和拟牛顿算法的混合,实现了反演速度与精度的兼顾。与传统算法相比,这种混合算法在数据量依赖性、计算时间、抗噪能力和稳定性等方面都表现出色,能够更准确、高效地揭示地下电性结构信息。

图3 粒子群-拟牛顿混合三维反演算法流程图
河南周庵是秦岭-大别造山带最大的镍和铂族元素矿床。该矿区的探测难点在于巨厚的第四系覆盖层,这些覆盖层富含水分,呈现低阻特征,对常规人工电磁法的穿透能力提出了挑战。此外,矿体赋存于超基性岩边缘,与上覆层的电阻率接近,难以精细刻画。为了探测深部矿体,他们在矿区布置了6条SOTEM 测线,进行了实地探测。
探测结果显示(图4),SOTEM 技术成功揭示了测区内地层由浅及深整体呈现低阻-高阻-低阻的变化特征。浅地表的低阻层反映了新生代覆盖层,其下方的高阻体可能是超基性岩体,而深部地层的低阻特征可能与岩石蚀变有关。在 L3 测线上,他们发现了矿体主要集中在岩体的内接触带蚀变壳内,且推测可能存在更大体量的矿体。这一探测成果不仅验证了 SOTEM 技术在深部矿产勘探中的有效性,还为周庵矿区的深部找矿提供了重要依据。

图4 六条侧线剖面电性结果(a)和L3线电阻率剖面及可能的地质解释(b)
尽管SOTEM技术已经取得了显著的成果,但其研究和应用时间相对较短,未来仍有许多发展方向包括:地面发射、无人机搭载空中接收的短偏移系统,提高探测效率;研发更大功率发射系统,借助高温超导技术,进一步提高深部目标体观测数据质量;发展SOTEM多激励源观测技术,提高发射强度和信号辨识度;融合SOTEM数据和其他地学数据,发展智能化数据处理技术,实现目标高精度识别。随着技术的不断发展和完善,SOTEM 必将在未来的深部矿产资源勘探中发挥更大的作用,为国家的资源安全和经济发展提供有力的技术支持。
关于SOTEM的理论基础、仪器设备、数据处理方法及其实际应用效能的研究成果发表于《中国科学:地球科学》。研究受国家自然科学基金项目(42010306)和国家重点研发计划( 2022YFC2903505)等项目共同资助。
1.中文版: 薛国强, 武欣, 陈卫营, 周楠楠. 接地源短偏移瞬变电磁法理论及其在深部矿产勘探中的应用. 中国科学: 地球科学, 2025, 55(2): 642-654. DOI: 10.1360/SSTe-2024-0192.
2. 英文版: Xue G, Wu X, Chen W, Zhou N. 2025. Grounded-source short offset transient electromagnetic method: Theory and applications in deep mineral exploration. Science China Earth Sciences, 2025, 68(2): 626–638. DOI:10.1007/s11430-024-1467-9.