深入理解火山的地下结构对于揭示火山活动机制、评估当前状态及预测潜在风险具有至关重要的意义。然而,由于地质时间尺度上错综复杂的物理和化学过程,准确描绘火山结构及其岩浆系统等深层特征成为了一项极具挑战性的任务。地震散射与固有衰减层析成像技术,作为探索构造、岩浆及热液过程相互作用的重要手段,正逐渐受到科研界的广泛关注。但传统成像技术受限于高昂的内存与计算资源需求,往往仅能应用于一维速度模型,且散射与固有衰减之间的耦合效应易引发参数混淆,进一步增加了反演过程的非线性复杂程度。
针对上述挑战,800彩票魏佳博士后与合作导师陈凌研究员、刘前程特聘研究员,联合韦生吉研究员和赵亮研究员,提出了一种新的地震散射与固有衰减层析成像方法,旨在强散射环境(如火山区域)中实现散射与固有衰减的同时反演。研究团队首先构建了一种稳健高效的方法,特别是在多次散射主导的情况下,采用扩散模型作为辐射传输方程的有效近似。通过结合频率域扩散方程的有限元技术与截断高斯-牛顿法,成功实现了散射与固有衰减的联合反演。针对反演结果可能因相位缠绕而陷入局部最优解的风险(见图1),团队利用尾波能量中的超低频信息进行反演,并提出了频率选择准则。实验结果表明,该方法有效避免了反演收敛至局部极小值,并抑制了散射与固有衰减之间的参数串扰(见图2)。

图1 高斯异常衰减模型:(a)和(b)分别展示了传输散射系数和吸收系数的空间分布,红色圆点表示震源和台站的位置。在反演过程中使用了不符合频率选择准则的0.05 Hz、0.1 Hz和0.2 Hz等频率的能量数据,这导致反演陷入局部极小值,从而影响了高斯模型中传输散射系数(c)和吸收系数(d)的反演结果

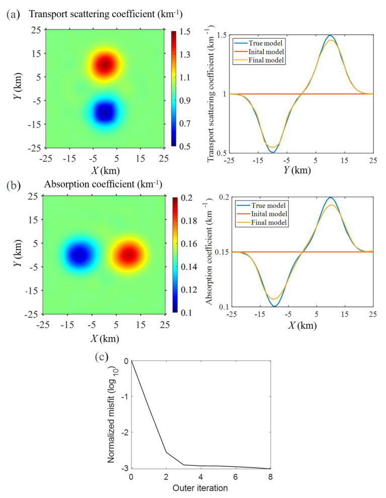
图2 高斯异常模型的传输散射系数(a)和吸收系数(b)的同时反演结果。在反演过程中使用了满足频率选择准则的0.008 Hz、0.01 Hz和0.012 Hz等频率的能量数据;(a)和(b)的右侧分别展示了穿过异常区域中心的剖面图;(c)为反演过程的收敛曲线
在更为复杂的情形下,研究团队采用蒙特卡罗方法,通过追踪能量粒子的传播过程数值求解辐射传输方程,进而生成衰减敏感核,以揭示地球内部散射与固有衰减的空间分布特征。为克服计算瓶颈,研究团队提出了一种基于两阶段扰动蒙特卡罗方法计算敏感核的新方案。该方法首先通过一次模拟识别台站能够捕获的能量粒子,随后在第二次模拟中专注于追踪并记录这些被捕获粒子的相关信息。与传统方法需要存储和处理所有能量粒子的信息不同,该方法仅聚焦于台站捕获的能量粒子,从而显著减少了内存占用和计算成本,并实现了与三维地震速度模型的有效结合。将这一创新方法应用于北苏门答腊的Toba火山区域,研究结果揭示了火山口周围存在的高固有衰减异常区,暗示了岩浆房的存在;同时,沿苏门答腊大断层发现的高散射衰减异常可能与断层带的复杂结构密切相关(见图3)。散射与固有衰减异常的重叠区域进一步表明,岩浆活动可能对Toba火山口以南的地震活动产生了重要影响(见图4)。

图3 研究区固有衰减(左)与散射衰减(右)层析成像结果

图4 (a)北苏门答腊下方岩浆系统的概念模型,修改自Koulakov等人(2016);(b)地壳衰减模型的解释,红色箭头表示挥发物和熔体的迁移路径,区域性的岩浆活动可能是Toba火山口以南地震活动的驱动因素
该研究为地震散射与固有衰减层析成像提供了新方法,为深入理解北苏门答腊地区火山活动和岩浆-地震关联性提供了新的启示。未来的研究将采用全能量包络敏感核,通过将数据和敏感核的时间分辨率从单一时间窗扩展至全包络,从而提高地震散射与固有衰减的空间分辨率,揭示更精细的地球内部结构特征。
相关研究成果发表于JGR-Solid Earth和SCES。研究得到了国家重点研发计划(2023YFF0803203)、国家自然科学基金(42288201, 42404133)、中国博士后科学基金(2023T160639)、广东省地球物理高分辨率成像技术重点实验室(2022B1212010002)和新加坡教育部学术研究基金(MOE-MOET32021-0002)的资助。
1. 魏佳, 刘前程, 陈凌, 韦生吉, 赵亮. A novel 3-D seismic scattering and intrinsic attenuation tomography and its application to Northern Sumatra [J]. Journal of Geophysical Research: Solid Earth, 2024, 129: e2024JB029116. DOI: 10.1029/2024JB029116.
2. 魏佳, 刘前程, 陈凌, 赵亮. Simultaneous inversion of seismic scattering and absorption attenuation using coda energies [J]. Science China Earth Sciences, 2024, 67: 3939–3949. DOI: 10.1007/s11430-023-1436-8.