岩体中存在各种成因形成的裂缝(结构面),组成复杂的天然裂缝网络。裂缝网络一方面作为岩体的破坏界面,直接影响岩体稳定性,是地质灾害预测的关键因素,另一方面,裂缝网络也是地下流体流动的高渗通道,对众多深地工程如油气资源开采、深地储氢储碳、核废料埋存等影响巨大。裂缝网络的连通性是其最重要的特征之一,直接决定了裂缝网络对岩体结构稳定性和渗流特性的控制作用。在裂缝网络连通性刻画方面,众多学者也开展了大量科学研究,然而大量研究主要关注于互相连接的天然裂缝集群,尤其是最大的裂缝集群,如逾渗理论专注于研究贯通型裂缝集群的形成及其在逾渗阈值附近的尺度特征,局部裂缝集群对裂缝网络连通性的贡献通常少有研究。然而天然裂缝网络通常是复杂的多集群系统,如图1(c)所示,即使在单一裂缝集群中,由于应力挤压和矿物填充,也会导致开度减小而将单一集群分割成多个集群,因此现有的裂缝网络连通性表征指标无法有效地计算多集群裂缝系统的连通性。如何计算多集群裂缝网络的连通性一直是地球科学领域的难点。

图1 (a) 巴西Irecê盆地的Brejões裂缝露头(Prabhakaran et al.,2019);(b) 简单多集群裂缝网络示意图,包含三个裂缝集群,方程(1)中使用的不同距离标注及T型、X型和I型节点用不同颜色标记; (c) 挪威西部Hornelen盆地的裂缝露头(N. E. Odling,1997),其中不同裂缝集群用不同的颜色标记;(d) 起始裂缝集群和中央集群之间的最短距离,该距离沿最短路径穿越多个中间集群,是在可渗透基质中的最小距离
为解决这一问题,800彩票朱维伟特聘副研究员、祁生文研究员联合清华大学王沫然教授、沙特阿美Xupeng He 博士、阿卜杜拉国王科技大学Tadeusz Patzek教授、宾州州立大学Derek Elsworth教授等,提出了一个新的裂缝网络连通性评价指标,并且利用先进的裂缝自动解释技术,收集了全球80幅天然裂缝网络的露头图片,通过新的评价指标系统研究了裂缝填充程度、中心集群的选取和裂缝集群联结对复杂裂缝网络连通性的影响。
新的裂缝网络连通性评价指标如公式(1)所示,由两部分构成:单一裂缝集群的连通性和裂缝集群间的相互作用。
公式(1)
其中单一集群项中的Ci可以是任意现有的连通性指标,相互作用项是归一化的水力传导率,其假设裂缝集群间通过低渗的基质连通,并且其中流体流动符合达西定律。di是第i个集群与中心集群之间的水力最短距离。
新连通性指标可以表征多集群裂缝网络的整体连通性,从而可以系统研究裂缝网络动态变化下连通性的变化特征。在此研究中,他们考虑了裂缝填充程度、中心集群的选取和裂缝集群联结对复杂裂缝网络连通性的定量影响。
裂缝填充在漫长的地质历史时期中是不可避免的,并且具有复杂的填充模式。通过随机填充的方式,他们发现少量填充,即可将裂缝集群分割成数量众多的小集群,显著降低了裂缝网络整体连通性。5%的填充能够降低大约20%的裂缝网络连通性。其连通性变化也可进一步分解成两部分的贡献,分别是最大集群和局部集群的连通性变化引起的整体连通性变化(图2a)。
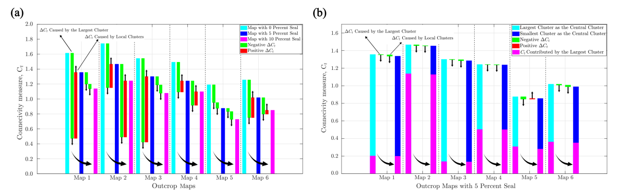
中心集群选取对于裂缝网络整体连通性的影响可以对应于实际生产中人工钻井与天然裂缝网络的相交关系。最大和最小裂缝集群作为中心集群,则可以代表钻遇最大和最小裂缝集群。结果表明,裂缝网络整体连通性差别不大(图2b),但是通过气水两相数值模拟结果显示,两种情况下气体产量会具有显著差别,这也能部分解释在裂缝型油气藏中相邻生产井可能会有显著不同产量的现象(图3c、图3d、图3f)。

图2 六个代表性露头图片中裂缝网络连通性的变化图,考虑不同裂缝填充程度的影响(a)中心集群从最大集群转变为最小集群的影响(b)。在图a中,青色、蓝色和品红色条柱分别代表裂缝填充度为0%、5%和10%时,裂缝网络的连通性值。两个条柱之间的绿色或红色矩形表示由最大集群或局部集群连通性变化引起的整体连通性变化

图3 气水两相模拟中气体压力分布图和产气量图
裂缝集群的联结在现实中也很常见,如天然裂缝的重新激活、水平井钻井钻遇多个裂缝集群和水力压裂联结多个裂缝集群等。裂缝集群的联结能够增大裂缝网络整体的连通性,并且在此过程中,天然裂缝的非均质性和各向异性对连通性的增加影响很大,通常存在最优方向(图4)。

图4 增加不同方向的无限长裂缝后,裂缝网络连通性的变化。该研究中,分辨率(米/像素)作为露头图片的特征尺度
综上,该研究提出了可以定量计算多集群复杂裂缝网络的新的连通性指标,从而可以定量表征动态变化下复杂裂缝网络连通性的演化过程。除天然裂缝网络之外,多集群系统也广泛存在于许多其他科学领域,如材料科学和生物领域等,该连通性指标也可用以定量评价其他复杂多集群系统。
研究成果发表于国际学术期刊GRL(朱维伟,Xupeng He,Tadeusz Wiktor Patzek,陈志强,Hussein Hoteit,Derek Elsworth,祁生文*,王沫然*.A novel connectivity metric of identified multi‐cluster fracture networks in permeable formations[J]. Geophysical Research Letters, 2024, 51: e2024GL109569. DOI: 10.1029/2024GL109569.)。研究受第二次青藏高原科考项目(No. 2019QZKK0904)、国家自然科学基金项目(No. 2019YFA0708704,No. 41825018)和800彩票重点研究项目(No. IGGCAS‐202201)资助。