华北克拉通是世界上最古老的克拉通之一,而位于其北部的中亚造山带则被认为是世界上最大的古老增生型造山带。郯庐断裂带和赤峰-开原断裂作为华北克拉通东北部和中亚造山带之间的构造边界,对于揭示两大构造单元的深浅接触关系和相互作用机制至关重要。由于地表岩石出露有限,新生代沉积物覆盖广泛,导致难以全面认识该构造边界的确切位置和构造形态。为此,获取构造边界的精细壳幔结构,对于理解克拉通-造山带之间的深部接触关系以及华北克拉通破坏的非均匀性至关重要。
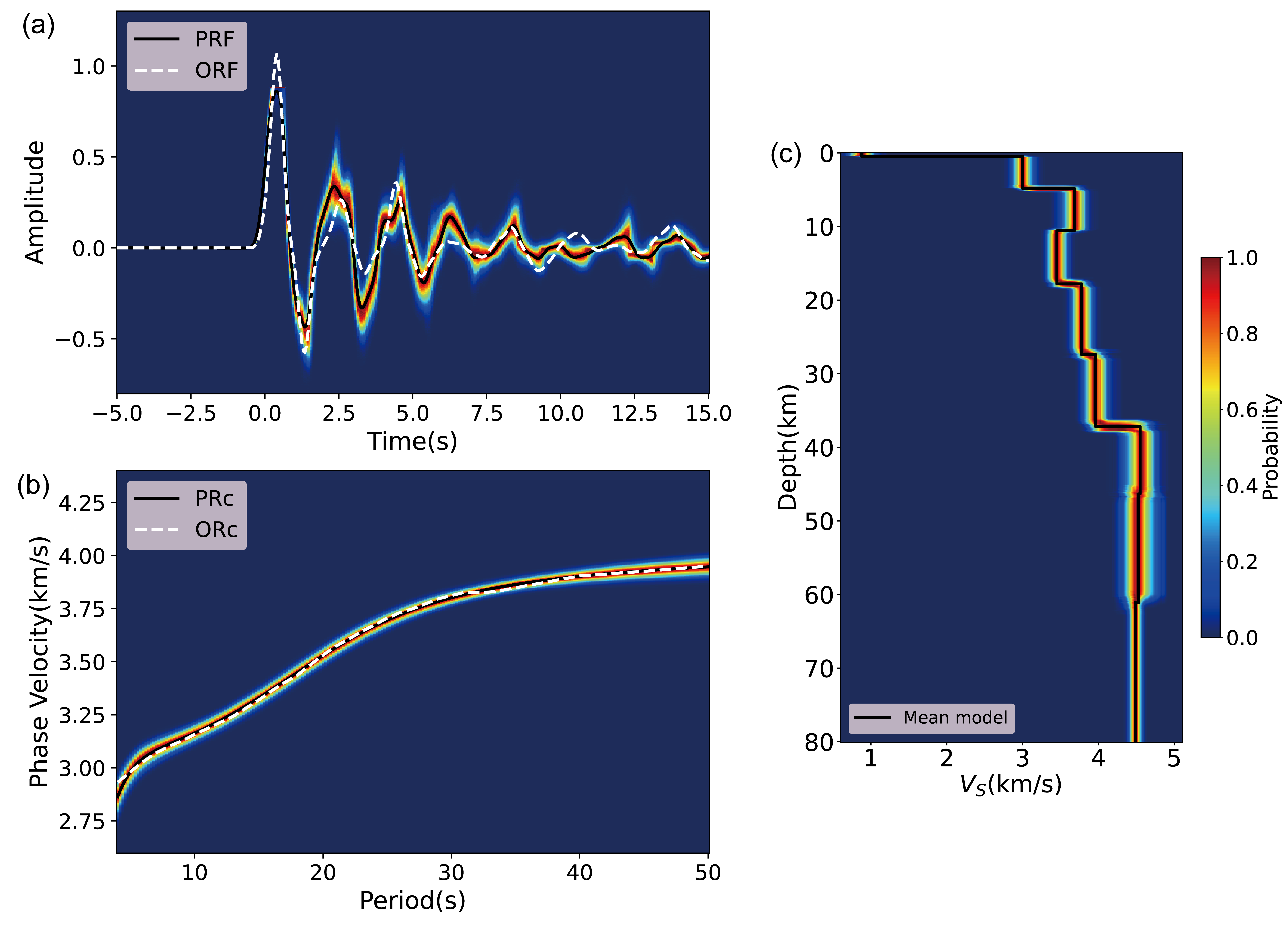
800彩票博士生杨庭威与导师徐涛研究员、艾印双研究员、杨进辉研究员和袁怀玉客座研究员,通过开展横跨郯庐断裂带和赤峰-开原断裂的宽频带地震剖面探测(图1)。利用哈密顿蒙特卡洛算法,进行面波频散曲线和接收函数的联合反演(图2),获取了剖面下方精细地壳和上地幔横波速度结构。并进一步利用该横波速度模型,修正接收函数共同转换点叠加中的走时差异。综合横波速度模型、莫霍面深度、纵横波速比值和地震活动性,建立了高分辨率地震学速度模型(图3,图4)。
研究结果表明:华北克拉通与中亚造山带在中国东北地区的构造边界,在辽宁段以赤峰-开原断裂为界,在吉林段以郯庐断裂带(敦化-密山断裂)为界,验证了古亚洲洋沿赤峰-开原断裂闭合,随后经历了依兰-伊通断裂和敦化-密山断裂的走滑运动。依兰-伊通断裂,以及龙岗地块与胶辽吉带的边界均为超壳断裂。敦化-密山断裂在郯庐主断裂分支附近没有明显的地壳尺度错动,但在北部延伸区是地壳尺度的断裂,表明敦化-密山断裂存在南北方向的构造差异。在郯庐断裂带以东,华北克拉通地区观测到明显的低速异常和地震活动,暗示断裂带东侧温度高于西侧所致,表明断裂带东侧的华北克拉通破坏更为剧烈。我们认为,由于古亚洲洋的闭合和郯庐断裂带的活动,自晚中生代以来,华北克拉通和中亚造山带经历了结构上的改造和破坏。到了新生代,郯庐断裂带以东的华北克拉通区域经历了比其他相邻构造单元更显著的破坏。

图1 中国东北的构造单元和主要断层。NCC,华北克拉通;CAOB,中亚造山带;TLFZ,郯庐断裂带;SLB,松辽盆地;YYF,依兰-伊通断裂;CKF,赤峰-开原断裂;DMF,敦化-密山断裂;LGB,龙岗地块;JLJB,胶辽吉带;BLJ,龙岗地块和胶辽吉带边界;LGV,龙岗火山;JPHV,镜泊湖火山;CBV,长白山火山;红色三角形代表800彩票台站;蓝色三角形代表中国地震局台站


图2 HMC算法的联合反演(左SD17位于克拉通,右SD33位于松辽盆地)。(a) 接收函数拟合情况;(b) 频散曲线拟合情况;(c) 反演结果横波速度。 (a) 和 (b) 中的白色虚线表示实际数据,黑线表示恢复数据, (c) 中的黑线表示每个深度处后验分布的均值


图3 NCISP 10(左)和NCISP11(右)成像结果和构造解释。(a) 剖面附近的地质图;(b) H-κ叠加计算的纵横波速比;(c) 横波绝对速度;(d) 横波相对速度;(e) CCP叠加结果。灰色虚线表示断层,灰色实线表示莫霍面。绿色点表示H-κ叠加计算的莫霍深度;白色点表示震级大于3.0且距离剖面50公里以内的地震

图4 NCISP 10(左)和NCISP11(右)横波相对速度。灰色虚线表示断层,灰色实线表示莫霍面。白色箭头表示太平洋板块的俯冲方向;黑色箭头指示岩浆运移;白色点表示震级大于3.0且距离剖面50公里以内的地震
研究成果发表于国际学术期刊JGR-Solid Earth(杨庭威, 徐涛*, 艾印双*, 杨进辉, 袁怀玉. Fine crust-mantle structure of the major tectonic boundaries between the North China Craton and Central Asian Orogenic Belt revealed from Rayleigh wave phase velocities and receiver functions[J]. Journal of Geophysical Research: Solid Earth, 2024, 129(7): e2024JB028857.DOI: 10.1029/2024JB028857.)。研究得到了国家自然科学基金(42130807,91955210,42104102)和国家重点研发计划(2016YFC0600101)联合资助。