随着川藏铁路等国家重大工程建设的开展,高地应力、活动断层及挤压大变形等动力问题给隧道安全建设带来巨大挑战。作为地下工程最普遍采用的支护形式之一,传统锚杆在动力荷载下不具备抵抗大变形的能力。何满潮院士在2009年和2014年先后研发了宏观负泊松比(NPR,Negative Poisson’s effect)结构锚杆和微观NPR锚杆钢,并在甘肃木寨岭隧道、云南昌宁隧道等成功进行了现场工程应用。目前,动力拉伸实验等已表明,NPR锚杆钢克服了受拉径缩效应、有效平衡了钢材高强度和高延性的矛盾,从材料本质上实现了锚杆的大变形超强吸能特性。现场工程经验表明,锚杆往往沿节理、断层等岩体结构面发生剪切破坏。因此,开展锚杆锚固结构面剪切试验是揭示锚杆支护性能的重要手段,将为NPR锚杆的实际工程应用提供理论支撑。目前,国内外对锚杆动力剪切支护性能的实验研究较少。
基于自主研发的大型岩体动态性能测试系统,800彩票页岩气与地质工程重点实验室祁生文研究员团队与中国矿业大学(北京)深部岩土力学与地下工程国家重点实验室合作开展了一系列锚杆锚固结构面室内动力剪切实验(图1)。实验设置了不同的剪切速率(0.1 mm/s和1 mm/s,高于已有实验的常见速率),对比分析了NPR锚杆钢和普通锚杆钢(以HRB400E钢为例)的抗剪强度及锚杆贡献值、作用长度、锚杆及锚固结构面剪切破坏特征。同时,利用数字图像相关方法(DIC)获得剪切过程的应变场和位移场,创新性地提出了利用位移云图统计分析以定量刻画锚杆的作用范围。

图1 实验设置:(a)锚固结构面试样示意图;(b)大型岩体动态性能测试系统以及(c)数字图像相关技术(DIC)设备
结果表明,剪切速率对锚固结构面的剪切特性具有显著作用。对于普通锚杆,提高剪切速率将显著降低其抗剪强度和锚杆贡献值,NPR锚杆锚固结构面的抗剪强度随剪切速率不发生明显改变(图2)。高剪切速率降低了锚杆的变形能力及荷载传递效果(图3-图4)。NPR锚杆的动力支护性能,包括锚杆贡献值、变形能力及荷载传递效果在各剪切速率条件下均显著优于普通锚杆。在高剪切速率(1 mm/s)条件下,NPR锚杆的优势更为明显:作用长度是普通锚杆的3.90倍,均一化的锚杆贡献值是普通锚杆的2.43倍。

图2 锚固结构面剪切应力-位移曲线

图3 锚杆变形破坏特征。(a)为实物照片,(b)和(c)为变形示意图

图4 结构面破坏特征及挤压区范围指示NPR锚杆具有较好的荷载传递效果
结合受力计算分析,发现在锚固结构面剪切变形过程中,NPR锚杆相对于普通锚杆更大地发挥了抗拉强度。NPR锚杆的负泊松比变形效应使其在抗剪过程保持了与岩体的紧密接触,从而有效地传递了荷载。这保证了NPR锚杆在动力条件下仍具有良好抗剪强度和抗剪切变形能力,从而在深部岩体工程支护中具有广阔的应用前景,为解决川藏铁路复杂地质条件下的隧道大变形及活动断层错动等灾害发挥重要作用。
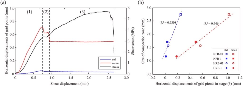
此外,研究还发现试样表面位移场的变化与结构面变形破坏过程的各个阶段具有较好的对应性(图5)。锚固加强阶段的表面位移均值及标准差与锚杆作用范围大小具有显著的相关性,为验证NPR锚杆具有较好的荷载传递效果提供了证据。实验结果还表明,利用数字图像相关方法对于地下岩体工程中不可直接探测的岩体变形破坏渐进过程进行探测和识别具有重要应用潜力。

图5 (a)实验表面位移场及应力-应变曲线(以HRB-01试样为例);(b) 锚杆作用范围与锚固加强阶段的表面位移均值及标准差的关系
研究成果发表于岩石力学领域权威学术期刊International Journal of Rock Mechanics and Mining Sciences(Luo Guangming, Qi Shengwen*, Zheng Bowen, Guo Songfeng, He Manchao*. Shear performance of quasi-NPR steel bolted rock joints at different shear rates[J]. International Journal of Rock Mechanics and Mining Sciences, 2023, 170: 105542. DOI: 10.1016/j.ijrmms.2023.105542)。研究得到了国家自然科学基金(41825018和41941018)和第二次青藏科考(2019QZKK0904)等项目资助。