天然气水合物是一种由天然气分子和水分子形成的结晶化合物,其中天然气分子(主要是甲烷)被束缚在由水分子形成的笼状结构中。作为一种极具潜力的非常规能源,其具有分布广泛、能量密度高、清洁等优点,引起了广泛关注。天然气水合物的开采方法主要包括降压、热刺激、注射抑制剂、气体置换。其中,降压被认为是最经济可行的开采方法。然而,降压法具有热源不足的缺点,容易诱发二次水合物或冰的生成。因此,热刺激方法通常与降压法同时使用,以提供额外的热源促进水合物分解。传统的热刺激采用热水或者蒸汽注射,面临着井筒热损失较大的问题,而电加热属于原位加热方法,避免了热损失。
800彩票油气资源研究院重点实验室博士生张琦与导师王彦飞研究员提出了采用低频电加热辅助降压方法来开采中国南海神狐海域的非受限天然气水合物矿藏,并基于双水平井设计了三种低频电加热开采方案,即LFEH-A(两井降压结合低频电加热)、LFEH-B(一井降压一井注盐水结合低频电加热)和LFEH-C(两井交替进行降压和低频电加热,即热吞吐法)(图1)。

图1 不同低频电加热辅助降压生产方案示意图
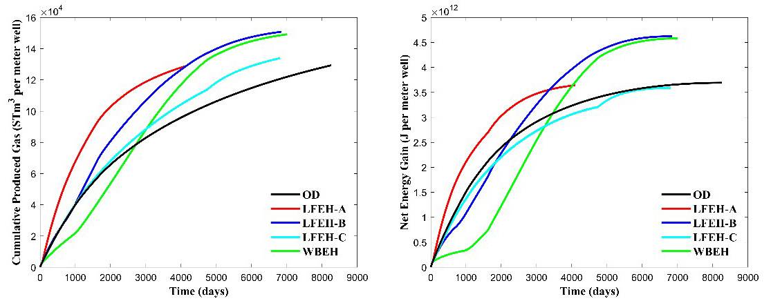
为了验证低频电加热的可行性,他们在TOUGH+HYDRATE软件中引入一个新的电加热模块,实现了低频电加热方案的数值模拟,并与只降压方案(OD)进行了对比(图2)。结果表明,低频电加热可以明显促进水合物的分解和甲烷生产。在相同气体产量下,两井降压结合低频电加热方案的生产时间仅为只降压方案的一半;同时,由于热和流体对流的增强,盐水驱结合低频电加热方案比只降压方案实现了更多的产气及净能量获得(分别高16.6%和25.2%),这些结果验证了低频电加热促进非受限水合物矿藏产气的有效性。然而,由于净生产时间的减少,低频电加热吞吐法与只降压相比并没有明显优势。

图2 不同生产方案甲烷和能量回收的对比。(左) 累计产气;(右) 净能量获得
为了确定最优的电加热生产方法,他们还比较了低频电加热与井筒电加热(WBEH)的模拟结果。井筒电加热在甲烷和能量回收方面与低频电加热旗鼓相当。但是,由于更均匀的电热分布,低频电加热的地层温度要远低于井筒电加热,可以避免井筒因持续高温而失稳(图3)。最后,电加热参数对生产和成本的敏感性分析表明,为了避免不必要的能量浪费,低频电加热应该在一个适当的时间提前停止,同时提高低频电加热功率可以增加甲烷回收及净能量获得。此外,与只降压相比,低频电加热方法虽然具有更好的经济潜力,但仍然不能满足天然气水合物的商业生产标准,储层改造技术应在未来研究中予以考虑。

图3 低频电加热和井筒电加热的温度比较(365天)。(左) 低频电加热;(右)井筒电加热
研究成果发表于国际学术期刊Energy (Zhang Q, Wang Y. Comparisons of different electrical heating assisted depressurization methods for developing the unconfined hydrate deposits in Shenhu area[J]. Energy, 2023, 269: 126828. DOI: 10.1016/j.energy.2023.126828)。研究受中科院从0到1原始创新项目(ZDBS-LY-DQC003)、中科院地质与地球物理研究所重点部署项目(IGGCAS-2019031)及所长基金(SZJJ-201901)资助。