板块汇聚边界处地壳浅部构造样式和岩浆作用模式是理解深部俯冲和碰撞过程及其浅部响应的关键。特提斯域板块间的长期汇聚,尤其是新生代新特提斯洋的闭合及随后的阿拉伯-欧亚大陆碰撞,造成伊朗高原的隆升并伴随显著的陆内变形和岩浆活动(图1a)。伊朗高原西北部各构造块体普遍隆升、地壳变形强烈,并且广泛出露新生代岩浆岩(图1b),因此是研究和探索浅部地壳如何响应俯冲和碰撞深部过程的理想场所。

图1 伊朗高原地形(a)及研究区主要构造单元与观测系统(b)。b中蓝线为成像主剖面
地震学成像是探测地球内部结构与介质属性的重要手段。现今常用来约束地壳浅部结构的被动源方法主要包括区域体波走时和背景噪声面波层析成像。这些方法本身具有空间平滑效应,因而成像精度相对较低,制约了对浅部结构的精细刻画以及对介质属性的有效约束,而且因为要求较高密度的射线覆盖,在台站或事件分布不规则或者观测周期较短的情况下应用有限。
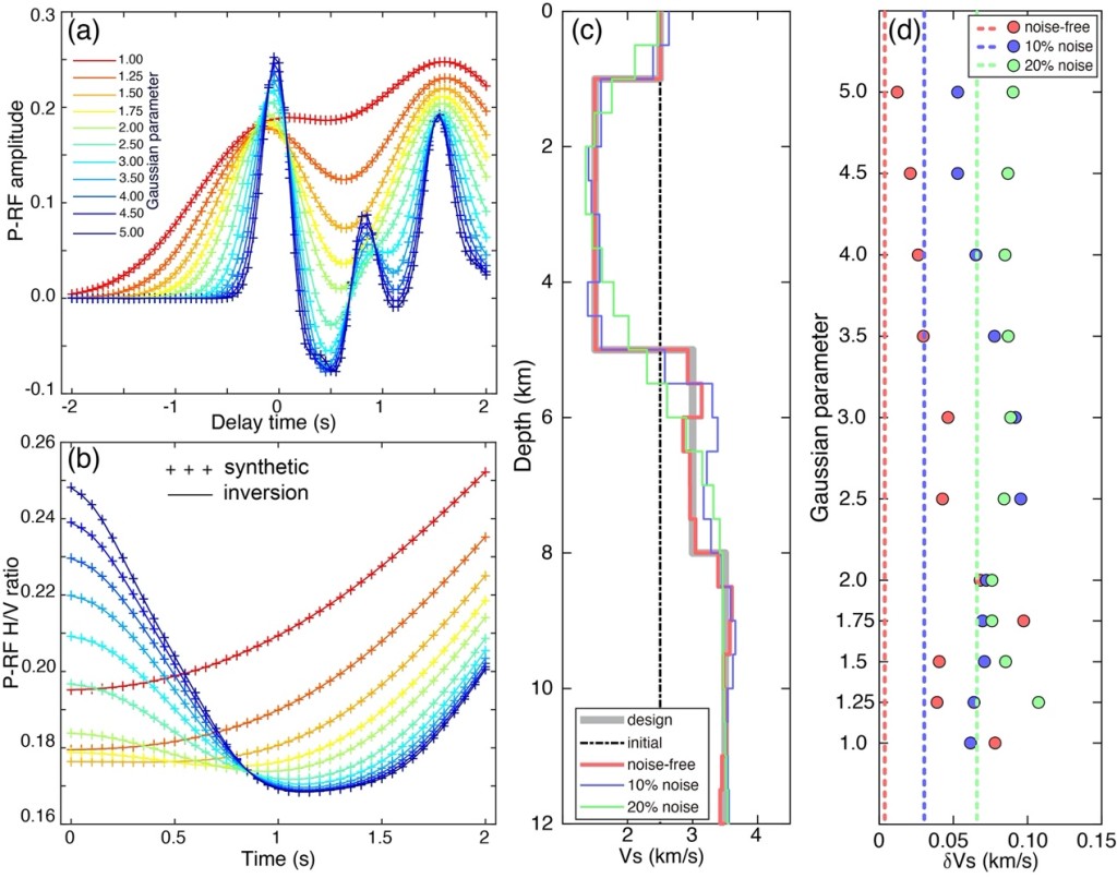
接收函数是反映地震台站下方壳幔波速界面对地震波响应的时间序列,其直达波震相包含了丰富的浅部介质波速结构信息且仅对台站下方小孔径范围内的结构敏感。接收函数波形及其径向-垂向振幅比分别对速度跳变和绝对速度敏感,且两者均具有频率依赖性(即随频率改变而发生变化)。联合这两种数据及其频率依赖性能够有效提高浅部地壳结构的成像精度,但缺乏系统的研究。中科院地质与地球物理研究所岩石圈演化国家重点实验室大陆岩石圈演化动力学学科组王旭博士后与合作导师陈凌研究员以及来自伊朗地质调查局等的学者合作,发展了基于多频接收函数波形与振幅比联合反演单个台站下方浅部(十数公里以浅)S波速度结构的新方法(图2)。相比于传统的走时和面波类方法或单频反演方法,新方法垂向分辨率更高(可达公里级),并且适用于单个台站和地震稀疏区域。

图2 接收函数波形(a)与径向-垂向振幅比(b)、目标模型与反演模型(c)、单频(圆圈)和多频(虚线)反演结果与目标模型的差值(d)。其中不同的高斯参数对应于不同频率的接收函数
基于“中-伊伊朗高原地质与地球物理综合探测(CIGSIP)”计划第一期密集流动地震台阵观测数据,研究团队利用新发展的多频接收函数波形与振幅比联合反演技术,开展了伊朗高原西北部浅部地壳S波速度精细结构成像研究。结果显示,不同构造块体10公里以浅的速度结构特征存在显著差异(图3a),特别是伊朗高原内陆整体速度较高且分布大量高速异常体(3.2–3.9 km/s),而扎格罗斯褶皱逆冲带主体速度较低并伴有明显低速层(~1.65 km/s)。

图3 沿主剖面S波速度结构(a),观测与实验室波速测量对比(b-c),扎格罗斯西北部岩性柱剖面(d)和地震活动性(e)。a中白色和黄色虚线分别标示出低速(LVAs)和高速异常体范围(D*, S*, Z*)
基于新观测,结合已发表的多种研究资料(包括实验室波速测量、岩性柱剖面、地表断裂、岩石地化和地震活动性;图3b-图3e和图4a),构建了研究区浅部地壳构造-岩浆响应模型(图4b):
(1)伊朗高原西北部内陆区域普遍存在高速异常体(D*, S*),指示地下广泛分布岩浆岩。这些高速异常体绝对速度值差异明显,反映其物质组分存在差异。中部伊朗块体下方的高速异常体主要代表中酸性岩(图3a-图3b中S1-S3和D2-D3),而北部厄尔布尔士造山带下方的高速异常体则主要为中基性岩(图3a-图3b中S4-S6和D4-D5),与已有的岩石地化观测结果一致(图4a)。这种岩浆岩组分从中酸性到中基性向内陆变化的特征可能反映了大陆弧岩浆作用向板内岩浆作用的转变。
(2)扎格罗斯褶皱逆冲带浅部存在明显低速层,表明沉积层内部存在力学薄弱层。综合对比显示(图3c-图3d),扎格罗斯下方的低速异常指示了晚白垩世和古新世的泥页岩层,在其之下地震活动的突然增加(图3e、图4b)可能反映了该层之上由褶皱主导而之下由断裂主导的变形模式。在~8-12 km深度,地震活动明显减弱,基底发生局部隆起,表明沉积盖层与基底之间可能存在力学薄弱层。在汇聚过程中,这些力学薄弱层调解了垂向上的差异变形,进而控制了浅部褶皱逆冲构造样式。

图4 沿主剖面岩浆岩二氧化硅含量(a)和浅部地壳构造-岩浆响应模型(b)
该研究一方面发展了浅部S波速度结构成像新方法,为台站或事件分布不规则情况和地震稀疏区域的浅部结构成像提供了重要的方法基础,同时获得了伊朗高原西北部最新的地壳浅部速度结构模型,揭示扎格罗斯沉积层岩性差异对其构造变形起控制作用,而高原内陆岩浆岩组分的空间变化则反映形成构造背景的差异。
研究成果发表于国际学术期刊JGR(王旭, 陈凌*, Morteza Talebian, 艾印双, 姜明明, 姚华建, 何玉梅, Abdolreza Ghods, Farhad Sobouti, 万博, 褚杨, 侯广兵, 陈棋福, 鍾孫霖, 肖文交, 吴福元, 朱日祥. Shallow crustal response to Arabia-Eurasia convergence in northwestern Iran: Constraints from multifrequency P-wave receiver functions[J]. Journal of Geophysical Research: Solid Earth, 127: e2022JB024515. DOI: 10.1029/2022JB024515)