近年来,随着系列大型低地球轨道星座计划相继提出和实施,如“StarLink”(SpaceX的“星链”)、“Kuiper”(亚马逊的“柯伊伯”)、“Starnet”(中国“星网”)等,近地空间目标数量呈现爆炸式增长,其对空间和天文观测的影响日益突出。
非相干散射探测技术是当前国际上最强大的电离层地基探测手段,能高精度地直接探测几乎整个电离层高度上的等离子体密度、温度、漂移速度(电场)、成分,并间接探测背景中性大气的温度和风场。2021年6月,中国自主研制的新一代相控阵非相干散射雷达--三亚非相干散射雷达(SYISR)在我国海南省三亚建成,对我国低纬电离层开展探测研究,成为世界上第2套具有先进相控阵体制的非相干散射雷达系统。SYISR不仅能对电离层这类软目标进行多参量的高精度探测,且对空间环境中的各类硬目标(如空间碎片、人造卫星等)也有强大的探测能力,这对于扩展三亚非相干散射雷达应用领域、挖掘雷达潜力具有重要意义。同时这些空间硬目标的回波对电离层探测信号的分析和数据反演产生影响,对影响开展分析评估,并提出应对技术和处理方法,对保证SYISR的数据质量和可靠性十分重要。
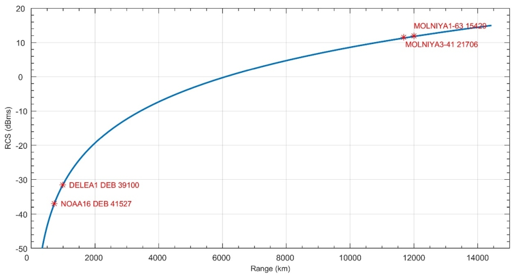
针对上述问题,800彩票非相干散射雷达课题组王俊逸工程师、乐新安研究员等,对SYISR的空间目标探测能力进行了理论评估,他们通过雷达方程和雷达参数,仿真计算了在不同高度和积累时间下雷达可检测到的目标RCS大小和对应尺寸(图1),并选取了包括低轨微小空间碎片和中轨道卫星的四个典型目标进行了观测验证。理论分析和实际观测结果表明,在1000 km高度,无脉冲积累,SYISR具备探测直径最小8 cm空间目标的能力,200 ms积累后可实现约3 cm目标的探测。

图1 SYISR空间目标探测的极限RCS(dBsm)随探测高度的变化,红星是实测验证
通常,SYISR进行电离层观测时,各种空间硬目标的出现会对雷达电离层信号造成干扰,进而影响参量的反演精度和可靠性。研究团队通过不同实验分析了空间目标干扰的特征(图2),结果表明:空间目标出现的距离展宽受信号脉宽和编码的影响,强度则由其自身的雷达散射截面和所处高度决定。

图2 SYISR长脉冲实验模式下四小时电离层观测的RTI(dB)图,可见显著的硬目标影响
由于电离层观测中的空间硬目标与电离层回波相混杂,研究团队基于SO-CFAR检测算法,设置了与背景起伏相匹配的检测阈值与参考单元,在保留电离层回波的前提下,对电离层观测中的明显空间目标干扰进行成功识别和去除,从而有效地消除了空间目标干扰(图3),保障了SYISR观测数据质量和可靠性。

图3 (a)空间目标污染去除前的电离层RTI图;(b)空间目标污染去除后的电离层RTI图;(c) 空间目标去除前后的RTI对比;(d)空间目标去除前后的原始电子密度对比
鉴于空间目标快速增长的趋势,以“StarLink”星座数据为例,研究团队分析了该星座在轨卫星数量的增长对SYISR观测的影响(图4)。模拟结果表明,随着在轨卫星数量的增加,SYISR上空过境的卫星数将随之上升,空间目标的干扰在电离层非相干散射观测中需要引起足够的重视。

图4 (a) 目前在轨的“StarLink”卫星过境SYISR的数量随时间的变化(红线是500 km以上的卫星数量),(b)10天内过境SYISR的在轨“StarLink”卫星每年的增长情况 (蓝色为总卫星数,白色为500 km以上卫星数)
相关研究成果发表于国际学术期刊Radio Science和Remote Sensing上。研究得到中国科学院基础研究领域青年团队稳定支持项目(YSBR-018)、中国科学院B类先导计划(XDB41000000)、国家自然科学基金(41427901)和国家重大科技基础设施子午工程项目资助。
1.王俊逸,乐新安*,丁锋,宁百齐,金林,柯长海、张宁、王永辉、尹翰林、李鸣远、蔡毅徽. Simulation and Observational Evaluation of Space Debris Detection by Sanya Incoherent Scatter Radar[J]. Radio Science, 2022, 57: e2022RS007472. DOI: 10.1029/2022RS007472.
2. 王俊逸,乐新安*,丁锋,宁百齐,金林,柯长海、张宁、罗俊浩、王永辉、尹翰林、李鸣远、蔡毅徽. The Effect of Space Objects on Ionospheric Observations: Perspective of SYISR[J]. Remote Sensing. 2022, 14: 5092. DOI: 10.3390/rs14205092.