网站地图联系我们所长信箱内部网English中国科学院
 
 
首页概况简介800彩票概况研究队伍科研成果实验观测合作交流研究生教育学会学报图书馆党群工作创新文化科学传播信息公开
  新闻动态
  您现在的位置:首页 > 新闻动态 > 研究亮点
王礼恒等-GCA:反应溶质运移模拟揭示黄石湖湖底水热蚀变时空演化过程
2022-06-21 | 作者: | 【 】【打印】【关闭

  黄石国家公园(Yellowstone National Park)是美国第一个国家公园,以极其丰富的野生动物种类和地热资源闻名。整个公园坐落在北美最大、最活跃的超级火山——黄石火山上,因此分布着大大小小上万个地表热显示(间歇泉、温泉、水热爆炸点),奇特的地质现象和多样的地理地貌特征不仅受到全世界游客的青睐,也吸引着大量学者的关注。 

  位于黄石国家公园中央偏东南的黄石湖(Yellowstone Lake,图1b)是这一地区最大的淡水湖,湖底同样分布着大量的热液喷口、喷气孔等。通过远程遥控机器人进入湖底开展的一系列现场监测工作发现,湖底最深处的“深坑区”(Deep Hole Region,水深约为125 m,图1c)为十分典型的高温(174°C)、酸性(pH = 4.2)环境,同时也观测到大量气泡从湖底热液喷口中溢出。经测试分析,这些气泡主要成分为CO2H2S。显然,富含岩浆气体(CO2H2S)的高焓蒸汽在从深部穿过湖底并最终溢出的过程,必将对湖底岩石具有显著的改造作用,进而控制着湖底深坑区的形成与演化。 

1 a)黄石国家公园在美国的位置;(b)黄石湖及深坑区(Deep Hole Region)在黄石公园的位置;(c)现今深坑区水深分布图,YL17U04代表喷口附近岩石取样点(代表蚀变矿物),YL17U05代表远离喷口位置取样点(代表新鲜矿物)

  近年来,众多学者针对黄石湖深坑区已开展了大量的地球化学演化与地热系统特征的研究工作。长期原位监测发现:在远离热液喷口的湖底分布着丰富的非晶硅、钾长石及少量赤铁矿、磁铁矿等矿物(YL17U05);而在热液喷口附近则以高岭土、石英黄铁矿等矿物为主(YL17U04)。因此推测远离热液喷口区的矿物代表新鲜矿物,其在混有岩浆气体的高焓蒸汽作用下,逐渐演化为热液喷口附近的蚀变矿物。这一推测是否合理?岩石水热蚀变过程又是如何控制着深坑区的地形演化? 

  针对上述问题,800彩票页岩气与地质工程院重点实验室王礼恒副研究员、董艳辉副研究员,联合明尼苏达大学William E. Seyfried Jr. 教授等借助地下多组分反应溶质运移数值模拟(Reactive Transport ModelingRTM)方法,针对深坑区建立了典型剖面的二维数值模型。该模型将多相流、热运移、化学反应及地形变化进行耦合,模拟了湖底岩石水热蚀变过程矿物随时间的变化特征,预测分析了深坑区地形时空演化过程。结果表明: 

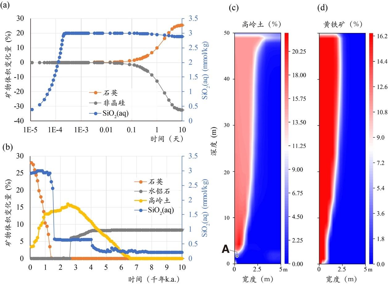
  1)混有岩浆气体的高焓蒸汽沿湖底热液喷口溢出,控制着湖底地层的压力、温度及酸性环境;高温酸性环境促使非晶硅大规模快速溶解(约在10天时间内)并转化为相对稳定的石英,造成喷口溢出流体的二氧化硅浓度先快速上升而后保持稳定;钾长石转化为高岭土与水铝石的过程则在百年至千年时间尺度上(0.5~1.5 ka);此外,暴露于富含H2S气体环境中的赤铁矿也在0.55年左右开始形成,并最终遍布在模拟区内(图2),这一模拟结果也与现场原位观测一致; 

  2)矿物水热蚀变过程的体积损失量是造成深坑区地形凹陷的重要原因之一,通过模拟计算发现,在经过1 k. a.水热蚀变后,模拟区地形将会向下凹陷约20 m,在10 k.a. 后,将会形成一个直径超过5 m、深度超过32 m的倒圆锥形凹陷区(图3)。 

2 ab)模拟区底部观测点矿物蚀变过程,左纵坐标为矿物体积变化量,负值代表体积减少、正值代表体积增加,右纵坐标为液相二氧化硅浓度;(cd)模拟期结束时高岭土与黄铁矿在模拟区的体积百分比分布情况,模型宽度为5 m、深度为50 m  

 

3 a)湖底深坑区矿物蚀变过程及三维地形分布;(b)地形时空演化过程

  RTM是解释地球系统中的耦合过程和不同时空尺度对其影响的重要工具,特别是在定量处理复杂地球化学过程中体现出其独特优势。黄石湖湖底热液排放的过程中,在岩浆气体混入后形成了一个典型的水--气反应体系。一方面,具有侵蚀性的高温热液加速了湖底矿物蚀变过程;另一方面,矿物蚀变又显著改变了湖底地层渗透性能,决定着高温热液的流动速度与排放通量,二者之间互相影响、互相制约。该研究借助RTM首次定量描述了这个复杂蒸汽型地热系统中的水热蚀变过程,并推演了黄石湖湖底地形时空演化过程,这不仅为深入认识黄石湖丰富奇特的地质现象提供了科学依据,也为了解类似系统(如洋中脊热液系统)中物质循环与地球化学演化提供了全新的思路。 

  研究成果发表于国际学术期刊Geochimica et Cosmochimica Acta王礼恒董艳辉Amanda Tudor,谭春阳,William E. Seyfried Jr. Geochemical evolution of a sublacustrine hydrothermal vent systems: Temporal constraints imposed by reactive transport modeling [J]. Geochimica et Cosmochimica Acta, 2022. DOIDOI: 10.1016/j.gca.2022.06.003)。研究得到国家自然科学基金(41702273)、美国国家自然科学基金(EAR-1515377)、国家留学基金委(201904910227)资助。 

 
地址:北京市朝阳区北土城西路19号 邮 编:100029 电话:010-82998001 传真:010-62010846
版权所有© 2009- 800彩票 京ICP备05029136号 京公网安备110402500032号