钛铁矿常以副矿物的形式存在于火成侵入岩中,是岩浆演化过程的记录者。但是,在镁铁-超镁铁质侵入体中,钛铁矿和磁铁矿是主要的组成矿物,甚至形成具有工业开采价值的钒钛磁铁矿矿床。我国西南攀枝花地区出露的晚古生代末期的岩体(露头面积约30 km2,厚约几百米到2 km)就具有世界级规模的钒钛磁铁矿储量。近年来,已有诸多工作对其进行了研究。然而,对于该巨型Fe-Ti-V矿床具体的形成细节仍存在争议,主要的成因模型包括:(1)基性岩浆中硅酸盐矿物(如橄榄石、单斜辉石、斜方辉石等)的分离结晶,导致富铁氧化物的富集;(2)岩浆演化过程中产生不混溶/粒间不混溶的富Fe-Ti的熔体(最终形成钒钛磁铁矿矿床)和富Si的硅酸盐熔体。金属Mg和Fe同位素理论上可以为其成因提供制约,这是因为:Fe是该矿床的主要组成元素;分离结晶和部分熔融不会显著地使Mg同位素分馏,但会引起Fe同位素变化;液态不混溶产生的两相具有不同的聚合度,富Si相理论上会产生大尺度Mg-Fe同位素分馏的现象。虽然前人对中国西南攀枝花和白马岩体中的Mg-Fe同位素已进行研究,但仍未取得一致的结论。
为了进一步研究这一科学问题,中科院地质与地球物理研究所田恒次博士后及合作导师杨蔚研究员,与张驰副研究员、美国华盛顿大学滕方振教授、陈欣阳博士,以及中国地质大学李曙光院士、何永胜教授,柯珊副教授等对攀枝花镁铁质层状岩体中矿层和非矿层(主要由辉长岩组成)的橄榄石、单斜辉石和钛铁矿单矿物进行了Mg-Fe同位素分析。
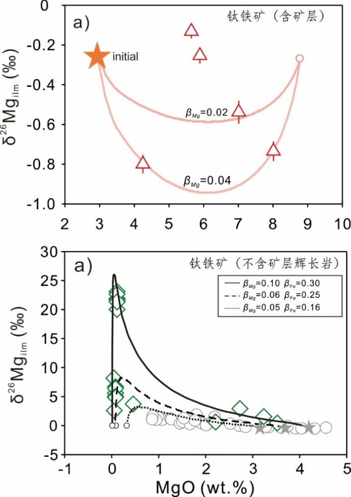
结果表明部分橄榄石和单斜辉石的Mg-Fe同位素变化范围超过高温岩浆过程平衡同位素分馏值,很可能是由动力学过程造成的。钛铁矿则具有明显大的Mg-Fe同位素分馏,并表现为非线性的负相关关系(图1)。这很可能是Mg-Fe互交换的结果,而并非热扩散效应或大尺度岩浆分离结晶的结果。该极端的Mg同位素数值(高达23‰)是目前已报道的自然样品中最高值,并在中国地质大学(北京)和美国华盛顿大学(西雅图)两个实验室得到了一致的测试结果。他们进一步发现大多数含矿层钛铁矿的主量元素的剖面变化趋势与非矿层(辉长岩)钛铁矿的主量元素的剖面变化趋势相反(图2),这很可能说明两者Mg-Fe同位素扩散的方向是相反的(图3),这被认为是粒间的液态不混溶过程引起的同位素分馏。初始阶段的高钛玄武质熔体,经过硅酸盐矿物的分离,形成了晶粥层的骨架,随后粒间熔体发生不混溶,分离出Fe-rich相和Si-rich相。前者具有高Fe含量,后者表现为低Mg特征。由于密度差异,富Si熔体逐渐上升,而富Fe熔体则逐渐下沉。不同化学成分的钛铁矿与这两相熔体之间存在较大的Mg活度梯度,从而可引起极大的同位素分馏效应。结合前人的研究,他们的工作为层状岩体中的成矿元素的迁移-富集过程提供了新证据。同时,也表明Mg-Fe同位素体系可用于示踪镁铁质层状铁钛矿床的成因。

图1 攀枝花钛铁矿的Mg-Fe同位素组成

图2 (a)含矿层中样品PZH12-15的BSE图像及其沿钛铁矿矿物剖面的主要元素变化;(b)不含矿层(辉长岩)中样品PZH12-24的BSE图像及其沿钛铁矿矿物剖面的主要元素的变化

图3 攀枝花钛铁矿数据变化与模拟计算曲线(含矿层与不含矿层Mg-Fe扩散方向相反)
该研究对于理解月球高低钛玄武岩之间存在的同位素差异(如Li-Mg-Fe等)也有启示意义。它们两者之间同位素的差异或许并非是一些研究认为的单纯分离结晶的缘故,很可能也伴随有其它过程的存在(比如扩散、源区差异、矿物成分差异?),还待今后开展更多深入细致的研究来解答。
研究成果发表于国际权威学术刊物GCA。(Tian H C, Zhang C, Teng F Z, et al. Diffusion-driven extreme Mg and Fe isotope fractionation in Panzhihua ilmenite: Implications for the origin of mafic intrusion[J]. Geochimica et Cosmochimica Acta, 2020, 278: 361-375.DOI: 10.1016/j.gca.2019.10.004)(原文链接)成果受国家自然科学基金委、中国科学院B类战略性先导科技专项、博士后创新人才等项目资助。