镍、铜主要来自于岩浆硫化物矿床,通常由幔源岩浆经历特殊的演化过程聚集而成,全球镍储量的40%,铜储量的~10%产自这类矿床。世界级的铜镍矿大多产出于克拉通背景,近年大型造山带型铜镍矿越来越受到学者的关注,但造山带型铜镍矿床的成因机制及演化,特别是控制Cu同位素分馏的机制,由于缺乏直观可靠的来自于铜镍矿石本身的证据而受到限制。
Cu和S同位素是新兴的非传统稳定同位素,利用这两种元素进行相互验证,有望揭示地壳混染、硫化物结晶分异等铜镍矿床中重要成矿过程。中科院地质与地球物理研究所矿产资源研究院重点实验室镁铁-超镁铁岩成矿系统学科组唐冬梅副研究员等,对我国中亚造山带南缘喀拉通克和白石泉矿床不同深度的硫化物矿化样品(苏长岩、橄榄辉石岩和二辉橄榄岩)中的黄铜矿进行了系统的Cu和原位S同位素分析,首次探讨了造山带型铜镍硫化物矿床中Cu同位素的行为,并对这两个矿床的S-Cu同位素进行了多端元同位素混合模拟。
喀拉通克和白石泉矿床中黄铜矿S同位素变化范围分别是-1.86‰~+1.74‰和1.70‰~+4.98‰。母岩浆中硫化物熔体、硅酸盐熔体、残余体和堆晶橄榄石的S同位素多组分混染模拟表明两个矿床中矿石的δ34S值随着硅酸盐岩浆占上述多组分总和的质量分数(R’)的减少而增加,地壳的S含量及同位素组成对矿石有较大贡献,两个矿床的R’范围接近(分别为250-800和10-1000)。混染物高硫含量和不同δ34S的范围对于中亚造山带经济品位硫化物矿床的形成非常重要。
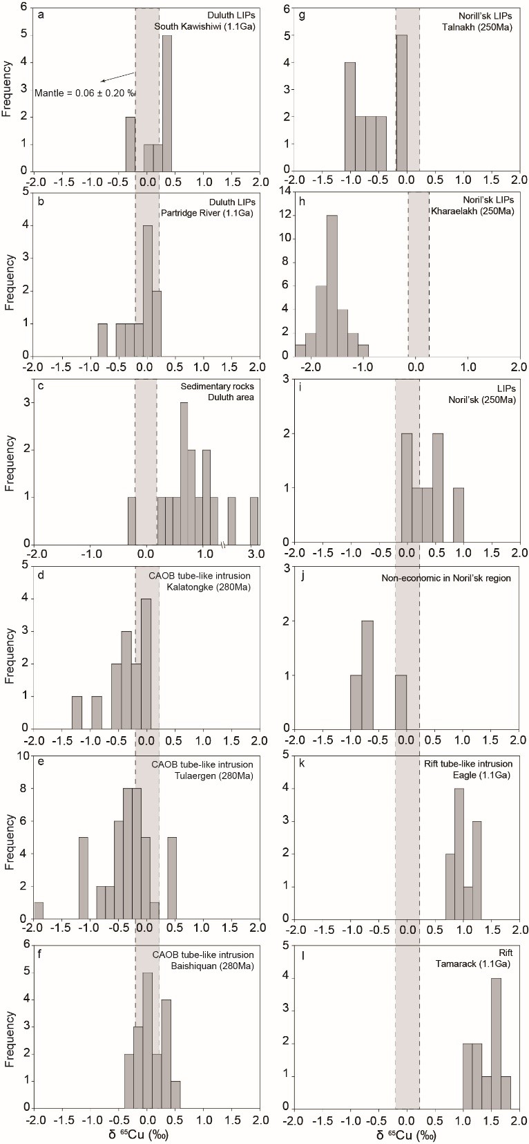
喀拉通克Y2岩/矿体(管状)和白石泉Y8岩/矿体(扇形)中黄铜矿的δ65Cu的变化范围分别是-1.32‰~+0.07 ‰和 -0.40‰~+0.59 ‰,与矿体形态和产出部位无相关性。地幔部分熔融和交代造成的δ65Cu不均一和地壳多端元混染拟合显示,矿石的δ65Cu与S同位素具有一致的R’值(图1)。相较于产出于陆内裂谷的高程度部分熔融的铜镍矿床(图2k、图2l),喀拉通克和白石泉矿床δ65Cu值较低且变化范围较大(图2d、图2f),指示母岩浆来自于部分熔融程度较低的交代地幔源区。地幔柱高程度部分熔融、俯冲交代改造的地幔部分熔融,可能更大程度上约束了δ65Cu值。
结果表明:黄铜矿S-Cu同位素能够揭示铜镍矿床的地壳混染程度,Cu同位素更可以研讨岩浆地幔源区性质,为岩浆型铜镍矿金属来源提供来自矿石的最直接有利证据。

图1 (a)喀拉通克(红色)和白石泉矿床(蓝色);(b)South Kawishiwi(白色)和Patridge River(深蓝色)的δ65Cu与R’的多端元模拟。R’=硅酸盐岩浆/(硫化物熔体+硅酸盐熔体+残余体+堆晶橄榄石)。带圆圈的曲线是正常地幔源区和浅层多组分的混染模拟趋势线,不带圆圈的曲线是交代地幔源区和浅层多组分的混染模拟趋势线。正常地幔与硫化物熔体+硅酸盐熔体+残余体+堆晶橄榄石的混合模拟趋势并不能完全拟合矿石中δ65Cu值,揭示硅酸盐结晶分异、硫化物熔离和地壳混染均无法完全解释现有δ65Cu值,地幔来源岩浆δ65Cu的变化则能更好的拟合测量值

图2 不同时代、不同构造背景铜镍矿的δ65Cu值分布频数图。a、b、 k和l. 陆内裂谷Duluth 地区的South Kawishiwi、Partridge River、Eagle和Tamarack矿床;d、e和f. 中亚造山带喀拉通克、图拉尔根和白石泉矿床;g、h和i. Noril’sk地区Talnakh、Kharaelakh和Noril’sk矿床
研究成果发表于国际权威学术期刊Geochimica et Cosmochimica Acta。(Tang D M*, Qin K Z, Su B X, et al. Sulfur and copper isotopic signatures of chalcopyrite at Kalatongke and Baishiquan: Insights into the origin of magmatic Ni-Cu sulfide deposits [J]. Geochimica et Cosmochimica Acta, 2020, 275: 209-228. DOI: 10.1016/j.gca.2020.02.015)(原文链接)