煤与瓦斯突出是煤炭开采过程中常见的地质灾害之一,它与构造应力作用紧密相关,往往释放出煤层气吸附理论难以解释的超量瓦斯。应力作用能否引起煤等有机岩的化学变化,其作用机理是什么?这是长期以来备受关注的科学问题。传统观念普遍认为:温度在煤化过程中对有机质降解起了重要作用;煤的缩聚芳环非常稳定,在地质条件下难以发生热解反应;煤分子不太可能发生力解反应。如果煤的力解反应得以证实,不仅对认识煤与瓦斯突出的机理以及解释超量煤层气的生成具有重要意义,而且是有机质生烃理论的重要补充。
十多年来,中国科学院大学侯泉林教授课题组对煤的力解问题进行了深入研究,获得了诸多佐证,但一直缺少更直接的证据。为了探索上述问题,中科院地质与地球物理研究所地球与行星物理院重点实验室博士生王瑾在郭光军研究员和侯泉林教授的指导下,采用ReaxFF反应力场分子动力学模拟方法研究了无烟煤在外力作用下发生破裂的过程。
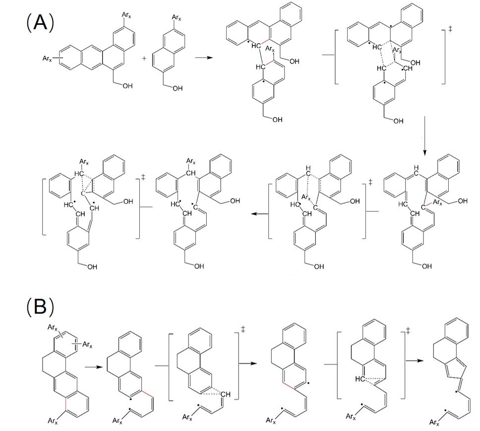
在模拟体系中(图1),将六个煤分子(C154H96O9)分成2组,分别沿相反的方向施加外力以便产生剪切应力;模拟中温度控制在600 K以避免煤分子发生热解反应。模拟结果表明,通常认为煤分子中难以破裂的缩聚芳环很容易发生力解反应,主要有攻击破裂和直接破裂两种机理(图2),这与常见的热解机理完全不同。缩聚芳环可以被剪破(图3)意味着煤的力解反应可能是有机质生烃的重要方式之一。

图1 无烟煤单分子模型(A)和包含六个单分子的平衡体系(B)。图B中显示了六个分子的堆积方向,为了绘图清晰,在图B中仅显示了碳骨架结构

图2 在剪切应力下,煤的缩聚芳环相互攻击破裂机理(A)和直接破裂机理(B)。[]?代表轨迹分析过程中观察到的可能的过渡态,Arx表示芳香组分

图3 缩聚芳环可以被剪破。图中六个苯环组成的六螺苯结构为缩聚芳环的概念示意图,黑色箭头代表对缩聚芳环施加剪切力,碳原子为绿色,氢原子为灰色,参与反应的原子为橙色
成果发表于Fuel(Wang J, Guo G J, Han Y, et al. Mechanolysis mechanisms of the fused aromatic rings of anthracite coal under shear stress[J]. Fuel, 2019, 253: 1247-1255.)(原文链接)