锆石分布广泛、地球化学性质稳定,忠实记录了结晶时的年龄信息,因而被广泛运用在地球科学的研究中。随着分析技术的发展,研究者在获取锆石年龄信息的同时,也获取了大量REE(稀土元素)数据。REE中的Ce和Eu是变价元素,其价态会受到岩浆氧化还原条件的影响,因此自2002年起,研究者陆续开发了一系列基于锆石REE的氧逸度计,用于指示岩浆的氧化还原条件。这些氧逸度计的使用取得了丰硕的成果,如用于揭示地球的早期演化历程和世界级斑岩矿床的成因等。
然而,有时锆石氧逸度计也可能得出令人费解的结果。比如地球早期的岩浆(△FMQ-8~△FMQ+10,数值越大越氧化),既可能如当今的大气(>△FMQ+10)般氧化,也可能如下地幔(<△FMQ-5)般还原。再如,在计算世界级斑岩矿床的岩浆氧逸度时,若采用不同的锆石氧逸度计,将得到截然不同的结果(△FMQ+5.5 vs. △FMQ+1.5)。这些看似“异常”的氧逸度结果不禁让人思考,我们是否对锆石氧逸度计的理解还不够深入,或是遗漏了某些至关重要的因素?比如,是否每一颗锆石都能用于计算氧逸度,如果不是,是否有一个标准来界定哪些锆石能用于计算?是否每一种锆石氧逸度计都可靠,如果不是,哪一种最可靠?
基于以上问题,中科院800彩票矿产资源研究院重点实验室博士生邹心宇与其导师秦克章研究员、李光明副研究员等,从锆石氧逸度计的理论基础,即晶格应变模型的角度出发,通过定义“clean zircon(洁净锆石)”和“δK(晶格应变模型偏离系数)”,严格论证并限定了所有常见锆石氧逸度计的使用范围,从根源上揭示了“异常”锆石氧逸度的成因,全面回答了哪些锆石可以用于计算氧逸度、哪些氧逸度计可靠等一系列在理论和使用过程中锆石氧逸度计中存在的核心问题。
他们的研究发现:
(1)Georoc数据库锆石La含量的统计和晶格应变模型对锆石理论La含量的计算表明,锆石的晶格中几乎不能赋存La,即便是在分析过程中混入百万分之一(质量比)的独居石,都将导致锆石的La含量>0.1ppm。因此他们定义“洁净锆石”为La≤0.1ppm的锆石。由于锆石中几乎不含La,因此任何由La含量主导的氧逸度计都是测不准的。
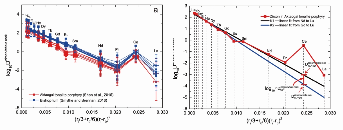
(2)任何早于锆石结晶的富含REE的矿物,都将引起熔体中的REE变化,这种变化将传递到锆石的REE上,最终使得晶格应变模型发生偏离。较大的晶格应变模型偏离系数(δK>3)将直接导致锆石氧逸度计失去使用前提,此时计算得到的氧逸度结果,实际上主要反映的是偏离模型的程度,不再具有氧逸度含义(图1)。

图1 锆石氧逸度计的使用前提——晶格应变模型的适用性检验
(3)除了最新的锆石氧逸度计(Smythe and Brenan., 2016)之外,其他所有锆石氧逸度计都不是可靠的定量氧逸度计。由于最新的锆石氧逸度计需要使用准确的岩浆含水量和REE含量,这使得通过锆石获得准确的斑岩岩浆的氧逸度及继承锆石母岩浆的氧逸度变得几乎不可能。因此,几乎所有前人工作中涉及锆石氧逸度的内容,都是不可靠的,有必要重新审视(图2)。
(4)由于早于锆石结晶的富含REE的矿物将直接引起晶格应变模型的偏离。因此可以通过寻找锆石REE及与其平衡熔体REE组成的方式,将锆石REE的研究拓宽到示踪岩浆过程。由于晶格应变模型不仅适用于锆石,还适用于包括长石、角闪石、石榴石在内的一系列矿物,这无疑将进一步拓宽晶格应变模型的适用范围和使用前景。

图2 常用锆石氧逸度计的失效原因
该研究工作不仅颠覆了对锆石氧逸度计的传统认识,并以岔路口巨型斑岩钼矿为例,提出了使用锆石REE示踪岩浆过程的全新思路。
研究成果发表于Earth and Planetary Science Letters。(Zou X Y, Qin K Z, Han X L et al., Insight into zircon REE oxy-barometers: A lattice strain model perspective [J]. Earth and Planetary Science Letters, 2019, 506: 87-96. DOI: 10.1016/j.epsl.2018.10.031)