天然气水合物是一种由多面体水笼子(主体)和小的气体分子(客体)组成的非计量化合物,其中甲烷水合物最为典型。它在能源、环境、油气管道运输以及地质灾害等方面都有着很重要的影响和作用。在水合物研究领域,甲烷水合物的形成机制是一个基本科学问题,而水笼子和甲烷分子间的吸附作用是理解水合物形成机制的关键因素。该吸附作用可以通过计算笼子-甲烷间的平均力势能来研究。
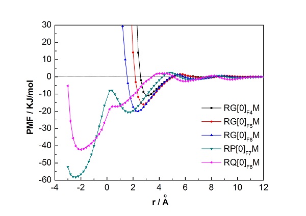
800彩票地球深部结构与过程研究室的博士生刘婵娟和导师郭光军研究员等通过约束分子动力学模拟方法,计算了笼子-甲烷间的平均力势能,调查了水合物的笼子类型和吸附面大小对笼子-甲烷间平均力势能的影响(图1、2)。研究表明:(1)笼子-甲烷间的吸附作用基本不受笼子类型的影响;(2)不同的吸附面对笼子-甲烷间的吸附作用有很大的影响,当吸附面为四边形至六边形时,笼子-甲烷间的吸附作用随着吸附面的增大而增强,即吸附面越大就越有利于捕获甲烷;(3)当吸附面大于等于七边形时,它就不再能够吸附甲烷,而是允许甲烷分子穿过吸附面进入笼子。这样的吸附面实际上已经转化为笼子洞,这为郭光军2011年在建立水合物笼子识别方法时用到的一个关键但经验的定义提供了坚实的理论基础。

图1 不同类型的笼子和不同大小的吸附面(红球为水氧,灰球为甲烷)

图2 笼子吸附面对笼子-甲烷间平均力势能(PMF)的影响
该研究结果对天然气水合物的形成机制研究,以及水合物客体分子在笼子间的扩散研究有重要意义;另外也意味着在水合物的成核和生长过程中存在优势面,笼子更容易沿着优势面的方向生长。该研究成果近期发表在物理化学类国际知名刊物Chemical Physics Letters上(Liu et al. Effects of cage type and adsorption face on the cage-methane adsorption interaction: Implications for hydrate nucleation studies. Chemical Physics Letters, 2013, 575: 54-58)。
原文链接