我国的华北克拉通在显生宙时期遭受了显著的岩石圈减薄作用,已被公认为是克拉通破坏的典型代表。已有的研究表明,华北克拉通东部早期古老的巨厚富集岩石圈地幔已被薄的亏损型软流圈或大洋型地幔所取代,而在克拉通中西部地区可能仍有古老地幔残留。位于南北重力梯度带中段的河南鹤壁地区新生代玄武岩携带有橄榄岩包体,其矿物成分表现出难熔的特征,这类似于古生代金伯利岩所携带的地幔包体,而显著区别于克拉通东部新生代地幔包体。少有的硫化物Re-Os同位素数据证实了鹤壁地区新生代仍残留有太古代岩石圈地幔。然而,由于鹤壁地幔包体个体很小,很难通过传统的溶液分析方法来获得单斜辉石Sr-Nd同位素的信息,从而阻碍了对华北克拉通太古代岩石圈地幔性质与特征的认识。
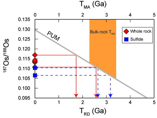
地质与地球物理研究所岩石圈演化国家重点实验室博士生孙晶在其导师刘传周副研究员和吴福元研究员的指导下,对鹤壁地幔包体进行全岩Re-Os同位素分析以确定岩石圈地幔的形成时代,并通过MC-ICPMS实验室研发的激光原位Sr同位素分析方法,对鹤壁地幔包体中的单斜辉石开展原位Sr同位素的研究。全岩Re-Os同位素结果表明,鹤壁新生橄榄岩包体具有非常低的187Os/188Os比值(0.11067-0.11688),计算获得其Re亏损年龄(TRD)和模式年龄(TMA)分别为1.8-2.6 Ga和2.3-3.4Ga(图1)。这支持鹤壁地区在新生代时期仍有残留太古代岩石圈地幔。对单斜辉石进行激光原位Sr同位素的测定,获得其87Sr/86Sr比值为0.70309–0.70556,具有亏损至弱富集的特征 (图2)。鹤壁包体单斜辉石的Sr同位素特征与古生代金伯利岩地幔包体的Sr同位素存在显著的差异。结合单斜辉石的微量元素特征,他们认为鹤壁包体中的单斜辉石形成碳酸岩熔体交代过程,其Sr同位素并不太古代岩石圈地幔的特征。此外,他们的结果也表明虽然交代作用使鹤壁地区的橄榄岩包体的矿物组成发生改变,导致单斜辉石以及其他交代矿物的形成,但这地幔交代作用并没有使全岩的Os同位素比值发生显著的改变。
图1:鹤壁橄榄岩包体187Os/188Os 与模式年龄图。 红色为本次研究中全岩的Re-Os同位素特征及对应的TRD年龄,蓝色方框为前人获得鹤壁地幔包体中硫化物的Os同位素结果。

图2 :鹤壁橄榄岩包体中单斜辉石Sr同位素(a)与华北克拉通新生代地幔包体中单斜辉石的Sr同位素(b)、古生代金伯利岩及其地幔包体的Sr同位素(c)的对比。
该研究成果近期发表在国际地球化学学领域权威期刊Chemical Geology 上(Sun et al. Metasomatic origin of clinopyroxene in Archean mantle xenoliths from Hebi, North China Craton: Trace-element and Sr-isotope constraints. Chemical Geology.2012,328:123-136)。
原文链接