网站地图联系我们所长信箱内部网English中国科学院
 
 
首页概况简介800彩票概况研究队伍科研成果实验观测合作交流研究生教育学会学报图书馆党群工作创新文化科学传播信息公开
  新闻动态
  您现在的位置:首页 > 新闻动态 > 研究亮点
BSSA:复杂非均匀块状介质中的逐段迭代射线追踪方法
2010-04-07 | 作者:科技与成果转化处 | 【 】【打印】【关闭
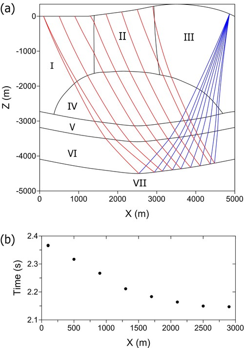
图1  二维侵入体模型的射线追踪结果和相应走时图
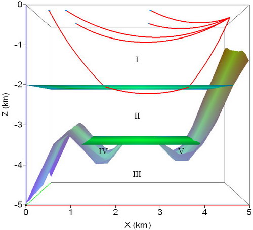
图2  三维断层、侵入体和透镜体组合模型的射线追踪结果和走时等值线
图3  三维地层互切模型追踪的回折波路径 

两点射线追踪属于地震波的正演模拟,在地震定位、层析成像、偏移以及地震数据采集等领域有重要的作用。在实际应用中,有两个重点和难点问题:精细地壳结构的描述方法和相应的快速射线追踪方法。

基于上述问题,800彩票青藏高原研究室深部物理场与动力学学科组徐涛副研究员及合作者提出了块状模型结构来描述复杂的二维和三维地球内部结构。地壳模型是由形状各异、大小不等的地质块体组成的集合体,而不是传统的层状或网格状,结合用三角形面片来描述模型界面,理论上可以描述任意复杂的精细地壳结构。在地质块体内,可以分别定义均匀、非均匀或各向异性等介质属性。在复杂块状模型的基础上,他们进一步提出了快速有效的逐段迭代射线追逐方法,该方法属于弯曲法的范畴。对于非均匀介质,如常用的常梯度速度场,两点之间的走时是两个路径点坐标的显式函数,可以通过稳定走时原理(Stationary travel-time principle),推导出射线路径点的一阶显式修正公式,相对于传统的多次迭代方法,大大的提高了射线追踪的效率。

该成果近期发表在国际SCI收录期刊Bulletin of the Seismological Society of America上(Xu et al. Segmentally iterative ray tracing in complex 2D and 3D heterogeneous block models. Bulletin of the Seismological Society of America, 2010, 100(2): 841-850)。

原文链接

 
地址:北京市朝阳区北土城西路19号 邮 编:100029 电话:010-82998001 传真:010-62010846
版权所有© 2009- 800彩票 京ICP备05029136号 京公网安备110402500032号