网站地图联系我们所长信箱内部网English中国科学院
 
 
首页概况简介800彩票概况研究队伍科研成果实验观测合作交流研究生教育学会学报图书馆党群工作创新文化科学传播信息公开
  新闻动态
  您现在的位置:首页 > 新闻动态 > 学术前沿
学术前沿    
图2.jpg
【前沿论坛】Canales:大西洋中脊核杂岩地球物理研究进展 2019-06-25
     报告人:Juan Pablo Canales | 整理:南方舟(油气室)   摘 要:大洋核杂岩及其发育的热液系统往往赋存块状硫化物矿床,是产生H2、CH4及其他非生物成因有机化合物的场所,对于研究该区域碳循环及早期地球生命具有重要意义。2003~2004年,Canales教授等通过大西洋中...
   查看详细>>>>
Fig.1s.jpg
【前沿报道】Nature Geoscience:冥王星存在海洋源于气... 2019-06-20
     很多含冰的太阳系天体内部可能存在液态水海洋,其中就包括冥王星。在冥王星的表面存在一个由氮冰组成、约1000 km宽的斯普特尼克平原(Sputnik Planitia)(图1),其与冥王星的潮汐轴对齐并在此区域存在正重力异常。学者认为斯普特尼克平原积聚的氮冰以及地下液态水...
   查看详细>>>>
Fig.1s.jpg
【前沿报道】Geology:火山作用——晚古生代大冰期重要... 2019-06-15
     火山喷发产生的硫酸盐气溶胶可以有效降低地球表面接收到的太阳辐射,从而引发晚古生代大冰期的出现。   晚古生代大冰期(LPIA,约360-260 Ma)是显生宙以来规模最大的冰期事件。一般认为,冰期和间冰期与大气中CO2浓度的高低有着密切的联系,当其含量较低时,气候往往...
   查看详细>>>>
Fig.1.jpg
【前沿报道】Nature:火卫一轨道演化揭示火星流变学和... 2019-06-10
     热-轨道耦合是火星与其卫星间潮汐相互作用的结果,最新研究提出利用围绕火星运行的火卫一(福波斯)的轨道演化数据来约束火星的流变性质与热演化历史。   相比火星表面,人类对火星内部结构及演化知之甚少。近期的火山活动证据表明,火星深部仍保持高温和对流冷却状态...
   查看详细>>>>
【前沿报道】Nature Geoscience:植被对早侏罗世全球变... 2019-06-03
     基于陆生植物孢粉及海洋浮游生物微体化石的研究显示,早侏罗世全球变暖事件(图阿尔期大洋缺氧事件)不仅破坏了海洋生态系统,也对陆地生态系统带来重大影响,且对陆地生态系统的影响明显早于海洋。   近年来,温室气体排放导致全球变暖,从而引发了国际社会的强烈关...
   查看详细>>>>
Fig.3s.jpg
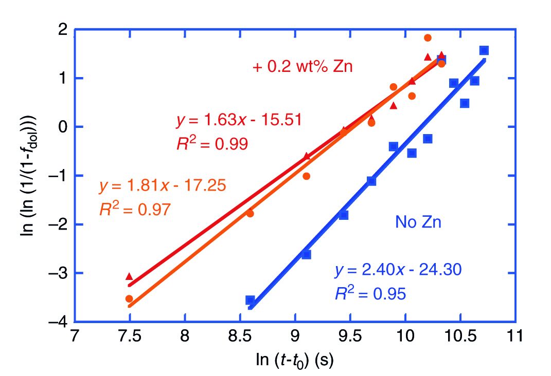
【前沿报道】Nature Communications:锌对白云石形成的... 2019-05-30
     白云岩[CaMg(CO3)2]是沉积岩,是碳酸盐岩中分布非常广泛的一种岩石,而且年代越老,分布越多,在其被发现的二百多年时间里,其成因一直是“谜”一样的存在:在常温常压条件下,由于镁离子的水合作用,会造成白云石形成的动力学障碍,所以很难在常温常压条件的正常地...
   查看详细>>>>
Fig.1.jpg
【前沿报道】PNAS:地核温压条件下Fe-Si-O系统发生不混... 2019-05-23
     大量地震学证据表明地球液态外核的顶部存在一个稳定层,一般称为E’层。该层具有较低的P波速度,并且由于是稳定的层,也与整个外核相比具有相对较低的密度,否则就会由于重力的作用而下沉。对于该层的形成机制,前人提出了各种解释。比如,由固态内核结晶排出的轻元...
   查看详细>>>>
共54页  首页上5页上一页4142434445下一页下5页尾页
地址:北京市朝阳区北土城西路19号 邮 编:100029 电话:010-82998001 传真:010-62010846
版权所有© 2009- 800彩票 京ICP备05029136号 京公网安备110402500032号