海洋 pH 影响着碳在水圈中的分配、生物合成途径、地壳及自生矿物的稳定性,并决定地球的宜居性。然而,对早期海洋 pH的研究成果仍存在很大争议,估算值从强酸性到碱性不等。这种不确定性主要源于前寒武纪碳酸盐样本的稀缺,使得地学家们难以利用硼同位素等直接代用指标来追踪海洋 pH 的演化。
先前对海洋 pH 演化的研究采用了实验和理论模拟的方法。实验研究基于沉积矿物和稀土元素异常得出相互矛盾的 pH 估算。例如,碳酸盐和硫酸盐沉淀(Walker, 1983)及高钙/碳酸盐碱度比(Blättler et al., 2017)支持早期存在的酸性海洋,而沉积岩中的稀土元素异常(Friend et al., 2008)则指向中性至弱碱性早期海洋。理论研究同样存在分歧,早期海洋被预测为碱性(Kempe and Degens, 1985)、酸性(Halevy and Bachan, 2017;Krissansen-Totton et al., 2018)或近中性(Sleep and Zahnle, 2001)。主要的不确定性来自对大陆和海底风化对全球碳循环相对贡献的模拟。酸根离子(例如HCO3-、CO32-、水溶性CO2等)是海水中的主要离子之一,它们来源于全球碳循环过程,而碳循环则由地球深部运动与表层化学反应来控制。地壳的存在可能使温室气体反作用于地表环境,因而是模拟全球碳循环模型的重中之重。传统观点认为大陆增长缓慢(Cawood et al., 2022),但越来越多的研究支持冥古宙大陆的快速增长(Guo and Korenaga, 2020, 2023)。此外,以往研究在模拟海底风化速率和海洋-地壳离子交换时,通常假设地幔热通量指数级升高(Halevy and Bachan, 2017;Krissansen-Totton et al., 2018),但这与岩石学对地幔冷却历史的估算不符(Herzberg et al., 2010)。因此,更合理地模拟相关地球化学循环,并充分考虑大陆形成历史,是当前研究的关键。
针对这些问题,南洋理工大学与耶鲁大学的研究者合作开发了一个新的模型,将全球碳循环与海洋地球化学相结合(图 1),并以固体地球系统的演化为约束。该模型引入了两个创新点。首先,该模型通过海洋电荷平衡显式追踪大气 pCO₂ 和海洋 pH 的变化,并结合大陆形成史(Guo and Korenaga, 2020)及地幔热演化(Guo and Korenaga, 2023),自洽地约束全球碳和海洋中主要阳离子的地球化学循环。它是首个系统地考虑了大陆形成和地幔热演化对碳、钠和镁循环的影响的模型,并将其贯穿整个地球历史的模型。此外,他们引入大陆浮力模型的计算结果(Korenaga et al., 2017),考虑了海水总质量的演化对海洋 pH 的影响,而这在以往海洋 pH 研究中尚未涉及。

图1 全球碳循环与海洋地球化学耦合模型示意图
通过定量分析地幔脱气、地壳形成、俯冲作用及化学风化过程中碳的交换,该模型重建了地球各储库中碳的存储历史,并评估了早期地球如何从岩浆海固化后富 CO₂ 的初始大气(Abe, 1993)演化为宜居环境的物理机制(Catling and Zahnle, 2020)。他们的主要发现如下:
(1)海洋 pH 的快速上升 。模型结果显示,从冥古宙到太古宙早期,海洋 pH 可能经历了快速上升。在冥古宙末期,海洋的pH已从初始值5 增至中性(图2)。这表明,地球可能在冥古宙末期已变得适宜生命存在,这一发现对行星宜居性和生命起源具有重要意义。海洋pH 的快速演化主要归因于冥古宙时期海底和陆地风化速率的提高。这一风化速率的加速源自冥古宙独特的地球动力学特征,而这些特征在以往研究中未被考虑。

图2 当反风化在 3.5 Ga 开始并在 0.5 Ga 终止时(A 中箭头所示),大气二氧化碳分压、海洋 pH 和地表温度的成功模拟结果及观测约束。 (A) 大气二氧化碳分压。(B) 海洋 pH,橙色和绿色曲线分别表示 Halevy 和 Bachan (2017) 以及 Krissansen-Totton et al. (2018) 的模型中值解,以供对比。(C) 地球地表温度,虚线表示 0°C
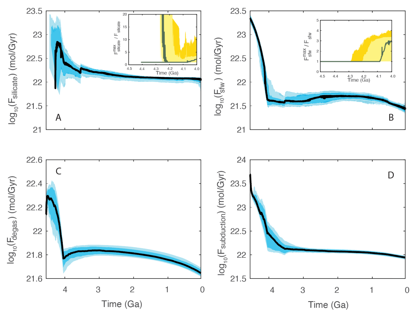
(2)大陆风化的相对贡献。在太古宙期早期,高 pCO₂ 大气导致大陆和海洋风化的速率受限于地表新鲜可风化岩石的供应。由于大陆和洋壳成分不同,其固碳能力受各自的化学演化控制。假设在太古宙期间,大陆地壳上部 500 米内的主要二价阳离子(MgO 和 CaO)全部用于碳酸盐矿物的形成,则大陆风化消耗的二氧化碳仅为现代水平的 1.3 至 1.6 倍。这表明大陆风化对去除太古宙大气中的二氧化碳作用有限。此外,根据模型结果,至太古宙中期,全球大陆地壳的总质量已发展至接近现代水平,但早期大陆面积较小,导致整体大陆风化速率较低。至太古宙末期(~4.3 Ga),随着大气 pCO₂的 降低和太阳辐射的减弱,地表温度显著下降(图 3)。地表温度直接影响硅酸盐岩石的风化能力,成为太古宙晚期至早期始太古宙大陆风化速率的主要限制因素。
(3)洋壳风化的主导作用。相比之下,海底风化在早期太古宙的固碳作用显著强于大陆风化(图 3)。由于太古宙洋壳镁含量较高,海底风化可消耗现代水平 13 倍的 CO₂(Miyazaki and Korenaga, 2022)。

图3 全球碳模型模拟结果。 (A) 大陆壳风化速率;(B) 洋壳风化速率;(C) 俯冲速率;(D) 地幔脱气速率。 (A) 和 (B) 的内嵌图分别显示了大陆壳和洋壳的最大硅酸盐风化潜力与实际风化速率的比值
(4)地球历史上的宜居节点。目前认为,生命不太可能直接起源于酸性水域,因为酸性环境不利于复杂生物分子的合成。该研究的结果表明,海洋 pH 在约 4.0 Ga 就已经由强酸性上升至中性,为生命起源提供了必要的地质条件。模型结果显示,早期大陆地壳的形成有助于降低大气 CO₂ 并促进关键养分元素的循环。通过约束陆地形成、大气成分和海洋化学的演变,他们确定地球的宜居性界限约在 4.0 Ga,标志着地球从恶劣环境向宜居状态的转变,为生命起源论奠定了理论基础。
通过整合全球碳循环、海洋地球化学和固体地球演化,该研究提出了一个新的海洋 pH 演化模型。结果表明,冥古宙末期海洋 pH 迅速上升,为地球宜居性和生命起源提供了关键地质背景。这一发现对行星宜居性研究具有重要意义,并为未来模拟早期地球环境提供了新的约束。
主要参考文献
Abe Y. Physical state of the very early Earth[J]. Lithos, 1993, 30: 223-235.
Blättler C L, Kump L R, Fischer W W, et al. Constraints on ocean carbonate chemistry and pCO2 in the Archaean and Palaeoproterozoic[J]. Nature Geoscience, 2017, 10: 41-45.
Catling D C, Zahnle K J. The archean atmosphere[J]. Science advances, 2020, 6: eaax1420.
Cawood P A, Chowdhury P, Mulder J A, et al. Secular evolution of continents and the Earth system[J]. Reviews of Geophysics, 2022, 60: e2022RG000789.
Guo M, Korenaga J. Argon constraints on the early growth of felsic continental crust[J]. Science Advances, 2020, 6: eaaz6234.
Guo M, Korenaga J. The combined Hf and Nd isotope evolution of the depleted mantle requires Hadean continental formation[J]. Science Advances, 2023, 9: eade2711.
Guo M, Korenaga J. Rapid rise of early ocean pH under elevated weathering rates[J]. Nature Geoscience, 2025: 1-7.(原文链接)
Halevy I, Bachan A. The geologic history of seawater pH[J]. Science, 2017, 355: 1069-1071.
Herzberg C, Condie K, Korenaga J. Thermal history of the Earth and its petrological expression[J]. Earth and Planetary Science Letters, 2010, 292: 79-88.
Kempe S, Degens E T. An early soda ocean?[J]. Chemical geology, 1985, 53: 95-108.
Krissansen - Totton J, Arney G N, Catling D C. Constraining the climate and ocean pH of the early Earth with a geological carbon cycle model[J]. Proceedings of the National Academy of Sciences, 2018, 115: 4105-4110.
Korenaga J, Planavsky N J, Evans D A D. Global water cycle and the coevolution of Earth’s interior and surface environment[J]. Phil. Trans. R. Soc. A, 2017, 375: 20150393.
Miyazaki Y, Korenaga J. A wet heterogeneous mantle creates a habitable world in the Hadean[J]. Nature, 2022, 603: 86-90.
Sleep N H, Zahnle K. Carbon dioxide cycling and implications for climate on ancient Earth[J]. Journal of Geophysical Research: Planets, 2001, 106: 1373-1399.
Walker J C. Possible limits on the composition of the Archaean ocean[J]. Nature, 1983, 302: 518-520.
(撰稿:郭萌/新加坡南洋理工大学)