火星沉积有机碳的碳同位素组成可以示踪其本地有机物的潜在来源,揭示火星碳循环过程。火星科学实验室(MSL)——“好奇号”火星车在过去9年间(2012年8月—2021年7月),对Gale陨石坑附近河湖相沉积系统开展了长期探测,共采集和分析了30余个钻孔样品,这些样品均取自Gale陨石坑数百米地层中不同的岩性单元(图1),代表了该区域复杂的演化历史,为碳同位素研究提供了绝佳机会。

图1 本研究中样品的地质背景信息。(A)标有每个MSL钻孔位置的地层柱状图。(B)在2685火星日拍摄的Moray_Firth Mastcam镶嵌图(mcam14053)显示EB钻孔附近的绿丘山麓(Greenheugh pediment)。(C)位于绿丘山麓之下的Murray组Glasgow段HU钻孔。(D)位于VRR上部Jura段Murray灰色泥岩中的HF钻孔。(E)采集GB样品的Namib沙丘(属于Bagnold沙丘)。(F)Yellowknife Bay位置,在此处Bradbury群Sheepbed段泥岩中钻取CB钻孔
为了约束火星沉积岩中碳的来源,美国宾夕法尼亚州立大学的Christopher House博士及其合作者在析出气体分析(EGA)任务中通过可调谐激光光谱仪(TLS)对Gale陨石坑24个样品中热裂解产生的CH4进行了碳同位素(δ13C)分析,并结合前人发表的这些样品裂解产生的SO2硫同位素组成(δ34S,由四极杆质谱仪测定),提出了碳来源的三种可能模式。该研究成果发表在PNAS上。
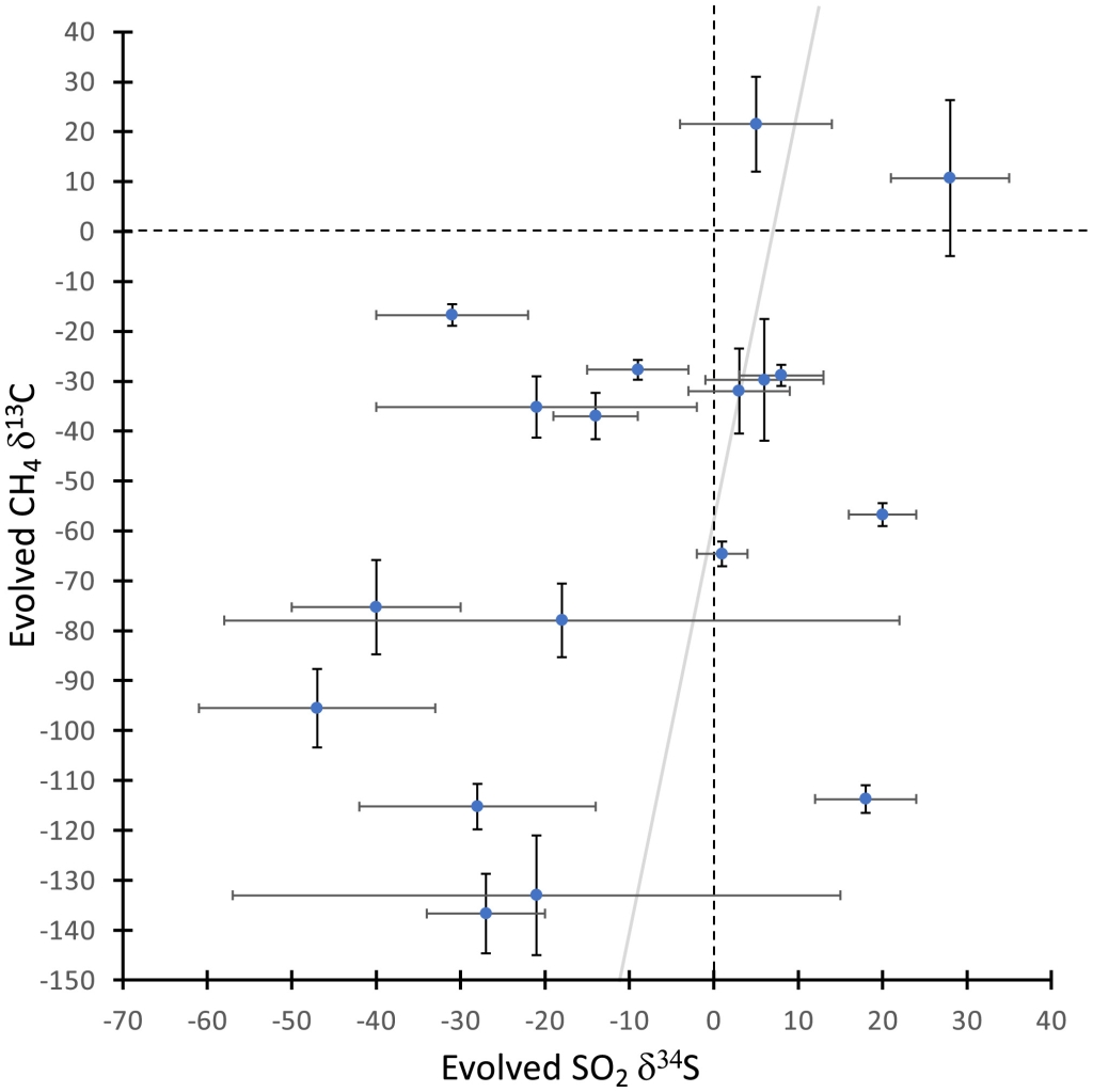
研究结果表明,裂解产生的CH4具有变化范围很大的δ13C值(-133‰~+22‰),其中极端亏损13C(即δ13C值很负)的CH4多数情况下对应于较低δ34S值的SO2(图2)。有意思的是,在10个亏损13C(δ13C<-70‰)的样品中,8个样品裂解出了含硫的还原性气体(OCS和CS2)。
当前火星的主要端元碳库包括大气CO2和火成来源(如火山喷发释放)的碳。前者由于大气中挥发分大规模散失,其δ13C值变得显著偏正(为+46±4‰)(Webster et al., 2013);而后者δ13C值则相对偏负(为-20±4‰)(Steele et al., 2012)。相比之下,本文所报道的某些样品13C亏损程度显得异常大。作者考虑了样品分析仪器中MTBSTFA(N-叔丁基二甲基硅烷基-N-甲基三氟乙酰胺,δ13C =-35‰)本底可能对裂解CH4的贡献,即便这样也无法解释那些极端偏负的δ13C值。
在地球上,研究人员对古老地表环境中13C高度亏损现象的经典解释是甲烷营养型微生物将已经亏损13C的甲烷转化为生物质的过程。例如,在太古代Tumbiana组地层中发现总有机质δ13C值低至-60‰(Eigenbrode and Freeman, 2006)。根据观察到的火星地下释放了大量甲烷羽流(plumes)的现象和对地球上微生物氧化甲烷方式的理解,研究人员曾提出微生物甲烷营养型可能是最近和古代火星上一种新陈代谢方式(House et al., 2011)。该过程也能解释许多具有较负δ13C值的样品中存在还原硫性化合物的现象,即亏损13C的微生物有机质和硫化物的共存可以通过以硫酸盐为电子受体的甲烷厌氧氧化过程来实现。地球上甲烷厌氧氧化过程会导致δ13C偏负30‰左右(House et al., 2009)。如果火星上甲烷微生物代谢会产生与之相同的同位素分馏,则微生物消耗的甲烷需要具有-40~-100‰的δ13C值才能解释本文所观察到的13C亏损幅度。这就要求供给微生物系统的无机CO2具有与火星岩浆碳相同的碳同位素组成(-20‰),而不是当今火星大气所观察的13C高度富集的数值(+46‰)。要使这个模型有效,需要如下两种情况之一,即在火星大气碳经历大量散失之前,13C亏损的碳就已经被沉积下来,或者火星次表面CO2储库与大气隔绝。本文所研究的古地表在Gale陨石坑沉积地层所处时代较晚,不支持第一种情况。而第二种情况很难评估,因为我们掌握的火星次表面流体动力学知识非常有限。总而言之,由于缺乏微生物表面活动的沉积证据和需要避免受到13C富集的火星大气的影响,这种地表甲烷营养型生物的解释受到了足够的质疑。

图2 EGA TLS CH4 δ13CVPDB值与EGA SO2 δ34SVCDT值对比。误差棒为1SE。作为参考,采用过原点的虚线将图进行四分,灰色线显示加权线性拟合(y = [8 ± 3]x – [59 ± 12],平均标准权重偏差(MSWD) = 7)。在Gale陨石坑的大多数样品分析中,当析出气CH4具有偏负程度较大的δ13C值时,析出气SO2也会亏损34S
为了解释火星上这种不寻常的碳同位素特征,House博士等人突破传统思维,提出了如下三种可能的碳来源。
宇宙尘埃云:分子云假说指出太阳系每隔1亿年就会穿过一个巨大的银河分子云。该星际分子云的1%由尘埃组成。来自阿联德(Allende)陨石的证据表明星际尘的δ13C值可以低至-260‰(Ash et al., 1988)。这可以为火星表面提供高度亏损13C的含碳物质。类似地,这些颗粒也可能与具有较负δ34S的硫化物有关。星际尘埃颗粒的通量非常低,通常会被其他来源的碳稀释。但是,分子云会导致火星全球急剧变冷,导致冰川运动,而星际尘埃可以沉积在冰川表面,免受火星上典型沉积碳的影响。冰川融化后,这些星际尘就会被保留在冰川地貌表面,形成一层含有轻碳物质的沉积。目前已有的沉积证据并不排除冰川过程的可能性。总的来说,这种解释是可能的,但需要额外的研究去确定δ34S值和宇宙尘中碳的相对量和性质。
二氧化碳的非生物还原:在火星上通过非生物过程产生有机碳的可能方式包括电化学还原(Steele et al., 2018)或光化学还原(Franz et al., 2020)。在这两个过程中,CO2被转化成有机质,理论上都会引起产物中13C的亏损。而且,对于电化学还原,硫化物可以作为还原矿物来驱动该固碳反应的发生,同样地,硫化物也是促进CO2发生光化学还原的催化矿物,这样就可以解释13C亏损和还原性硫共存的现象。然而,非生物还原反应仅能产生~50‰的碳同位素分馏,尚无法解释那些非常负的δ13C值。但是,在矿物表面发生CO2光化学还原所产生的碳同位素分馏程度尚不可知,所以需要开展研究工作来全面评价非生物还原是否可以导致那些13C极度亏损的碳同位素值。
CH4/CO和SO2的光解:有几种不同的光化学反应途径可以产生较大的13C亏损。CH4是火星大气中的已知成分,尽管其浓度存在变化。在相对干燥和缺氧的大气中,CH4通过光解能够产生有机气溶胶和颗粒物,该过程可以导致碳同位素偏负。如果SO2与CH4一起发生光化学反应产生含硫有机分子,则这个模型可以解释34S亏损的还原硫与13C亏损共存的现象。然而,前人研究表明CH4光降解导致碳同位素分馏幅度小于15‰(Nair et al., 2005),即使假设CH4具有火星内部碳的同位素组成(-20‰),也无法解释在Gale陨石坑观测到的碳同位素负异常。鉴于此,House博士等人提出一个包含系列反应的模型,即引入火星壳在蛇纹石化过程中发生的CO2非生物还原作用,或者微生物产甲烷作用。CO2(δ13C = -20‰)首先发生非生物还原变成CH4,然后再发生光化学反应,这样产生的有机物质或许会有-85‰的碳同位素组成,但也不足以解释所有观测到δ13C数值。如果大气中CH4是由微生物产甲烷作用生成,这些CH4再发生光解,则可以获得13C强烈亏损的碳同位素组成。但是,在这个解释被接受之前,至少还需要新的观测来确定火星CH4羽流来源于微生物作用。
另外,CO2以CO作为中间产物发生光化学还原生成甲醛(CH2O)或许也能产生13C亏损的有机物质,因为CO2与CO之间的光化学配分会导致13C较少地进入CO。该反应需要紫外光的参与,尤其是波长在100 nm左右的真空紫外光(VUV)。事实上,火星大气顶部发生的CO光解导致的碳同位素分馏据计算可达600‰(Hu et al., 2015)。如果火星光化学反应在过去大气中产生13C亏损的CO,再通过光解反应生成甲醛或其他有机化合物,然后沉积到Gale陨石坑暴露的古地表,即可导致本文报道的同位素结果。然而,CO2光解反应产生的有机物质很难被沉积下来,因为该反应产率低并且产生的甲醛光化学稳定性差。但是,光化学产生的甲烷可能会与SO2快速反应生成羟甲基磺酸盐,进而防止它被光解成CO。在较大的火山喷发事件后,大气中会有较高浓度的CO、SO2和H2,此时光化学有机产物(可能包括甲醛、羟甲基磺酸盐、羰基硫和硫代甲醛)的沉积会达到最大量。因为SO2具有较长的光化学平衡寿命(约1火星年)和对甲醛光分解的阻止作用,该类光化学反应的可能性会增加。反应产生的13C亏损的有机物加入到火星地表的雾或冰川冰中也能够起到浓缩的作用,导致它们保存到本地。由于缺乏不同温度下的VUV反应实验,并且需要对火星CO光谱细节特征和光化学过程的碳同位素效应进行调查研究,尚无法对此得出确切结论。

图3 SAM TLS观测到的同位素亏损碳来源的三种可能设想。蓝色部分显示,来自火星内部生物源甲烷在光解后可以导致13C亏损有机质的沉积。虽然13C亏损有机物的沉积也可能是甲烷营养型生物造成的,但是古地表尚无任何甲烷营养型微生物席的存在证据。橙色部分显示,光化学反应(UV)能够生成各种大气产物,其中一些以相对不稳定的有机质形式沉积。在火星条件下,CO2被光化学还原成CO的过程是否会产生较大同位素分馏仍不可知。灰色部分显示,如果我们太阳系经过一个巨大分子云(GMC),13C亏损的有机质会进入火星大气
综上所述,作者所提出的与同位素值和地质证据相符的解释包括:火星通过巨型分子云时的宇宙尘沉积、生物甲烷的光解和CO2的光还原反应(图3)。这三个设想都是不同寻常的,不像地球上通常发生的过程。凭借现有知识水平,很难确定哪一个设想最能准确地刻画几十亿年前火星上所发生的事件。好奇号火星车在下个火星年会再次横穿Gale陨石坑附近绿丘山麓(Greenheugh pediment)斜坡,为再次在该地表取样、揭示该地貌的化学特性和与之相关的任何有机碳提供了很好的机会。同样地,观测到的同位素异常与古侵蚀面之间的联系对NASA毅力号火星车研究团队确定目标样品具有指导意义,这些目标样品将会为洞悉导致该同位素分馏的火星过程提供额外证据。
本文为诠释火星碳循环提出了多个合理的假说,也为研究生命过程是否参与了火星碳循环指明了方向。同时,科学家对于大气化学及相关过程的了解都是基于地球的,作者能够摒弃“地球知识”偏好,真正尝试去理解火星地表过程,这种研究思路是值得我们在行星科学研究中去借鉴的。
主要参考文献
Ash R D, Arden J W, Grady M M, et al. An interstellar dust component rich in 12C [J]. Nature, 1988, 336: 228–230.
Eigenbrode J L, Freeman K H. Late Archean rise of aerobic microbial ecosystems [J]. Proceedings of the National Academy of Sciences, 2006, 103: 15759–15764.
Franz H B, Mahaffy P R, Webster C R, et al. Indigenous and exogenous organics and surface–atmosphere cycling inferred from carbon and oxygen isotopes at Gale crater [J]. Nature Astronomy, 2020, 4: 526–532.
House C H, Beal E J, Orphan V J. The apparent involvement of ANMEs in mineral dependent methane oxidation, as an analog for possible Martian methanotrophy [J]. Life (Basel), 2011, 1: 19–33.
House C H, Orphan V J, Turk K A, et al. Extensive carbon isotopic heterogeneity among methane seep microbiota [J]. Environmental Microbiology, 2009, 11: 2207–2215.
House C H, Wong G M, Webster C R, et al. Depleted carbon isotope compositions observed at Gale crater, Mars[J]. Proceedings of the National Academy of Sciences, 2022, 119(4): e2115651119.(原文链接)
Hu R, Kass D M, Ehlmann B L, et al. Tracing the fate of carbon and the atmospheric evolution of Mars [J]. Nature Communications, 2015, 6: 10003.
Nair H, Summers M E, Miller C E, et al. Isotopic fractionation of methane in the martian atmosphere [J]. Icarus, 2005, 175: 32–35.
Steele A, McCubbin F M, Fries M, et al. A reduced organic carbon component in Martian basalts [J]. Science, 2012, 337: 212–215.
Steele A, Benning L G, Wirth R, et al. Organic synthesis on Mars by electrochemical reduction of CO2 [J]. Science Advances, 2018, 4: eaat5118.
Webster C R, Mahaffy P R, Flesch G J, et al. Isotope ratios of H, C, and O in CO2 and H2O of the Martian atmosphere [J]. Science, 2013, 341: 260–263.
(撰稿:王旭/新生代)