地幔对流是地球内部的重要动力学过程,是板块构造、大陆形成和漂移、火山作用、地震和造山运动的根本原因(Lowman, 2002)。地幔对流使得地球内部热能向外传播,化学物质不断循环,并在地球表面产生动力学地形。约束地幔的热-化学结构的时空变化将有助于提升对这些相互关联的现象的理解。然而这个具有巨大挑战性的课题需要整合多种学科的观测。
目前探测地幔热-化学结构的两种行之有效的方法是火成岩地球化学和地震层析成像,两者都可以用来确定地幔温度和化学成分的变化。在火成岩地球化学方法中,对于给定的地幔源的组成,熔融深度和程度主要受软流圈温度和岩石圈厚度的控制(McKenzie et al., 2005)。在适当的假设条件下,根据火山岩的位置、体积和组成成分可以分析上地幔顶部的热结构,然而火山岩的分布和组成受地幔成分、地幔流几何结构以及在上升过程中熔体与围岩之间的相互作用的显著影响。地震层析成像可获得整个地幔剪切波速度异常(ΔVs)结构,ΔVs对温度非常敏感,可以对全球地幔温度变化提供关键约束(Priestley et al., 2006),但是ΔVs也受到地幔组成和间隙熔体的影响。针对两种方法各自的不确定性,可以密切结合地球化学观测和地震层析成像模型,分析火成岩地球化学与上地幔结构之间的关系,将有助于了解地幔组成成分、温度和熔融在地质时期的相互作用(Dalton et al., 2014; Wiens et al., 2006)。
在2014年, Dalton et al. (2014)将这种密切结合地球化学观测值和剪切波速度异常的方法应用在了岩石圈厚度可以忽略的洋中脊地区。通过分析洋脊剪切波速度、洋脊深度和MORB化学成分的变化的全球相关性,发现洋中脊深度以及MORB的主要化学元素组成主要受地幔温度变化的影响,洋脊深部最冷点位于海拔最低的地方,最热点位于洋脊海拔最高的地方(冰岛)。
在最新的研究中,针对于更一般的情况,即在软流圈温度和岩石圈厚度均发生变化的板内火山区域,Ball et al.(2021) 通过汇编全球范围内新近纪-第四纪>20000个板内火山岩样本分布和化学组成的数据库,结合全球的上地幔地震波速度模型,建立火山岩的化学组成与地幔地震速度、岩石圈厚度、地幔温度异常之间的定量关系,揭示了软流圈热异常和岩石圈减薄对板内火山形成的主导作用及其对地表过程影响。研究成果发表于Nature Communication上。
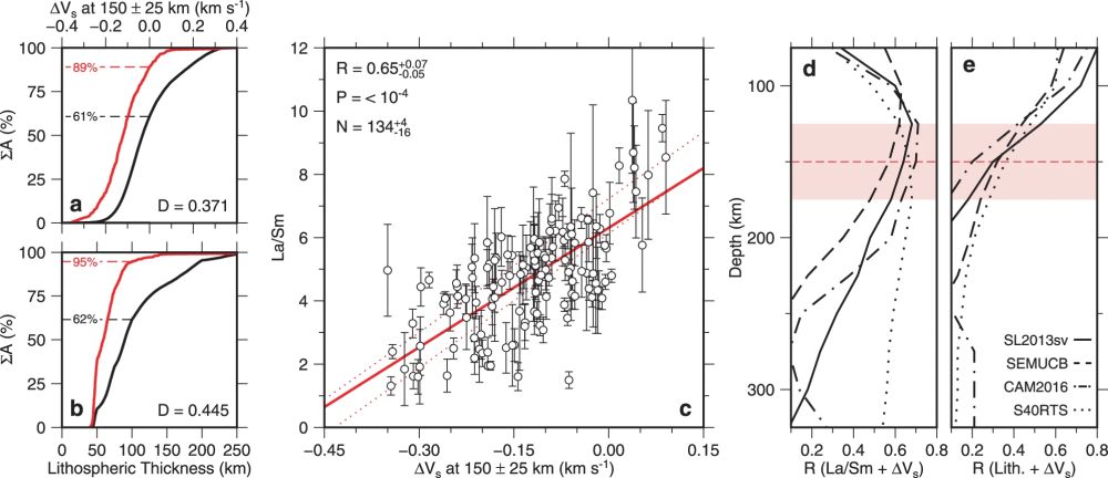
作者首先研究了新近纪-第四纪板内火山作用的分布和火山岩岩石组成、ΔVs和岩石圈厚度之间的关系,研究结果显示晚第三纪-第四纪板内火山作用集中在剪切波速度负异常和薄岩石圈区域(<100 km)(图1);铁镁质火成岩中的La/Sm与ΔVs(深度为150±25km)呈正相关(图2),火成岩的组成可反映软流圈的温度变化。另外不相容元素的主成分分析以及与地幔温度、地球化学和地球物理指标的相关性分析进一步揭示了软流圈温度变化是熔体含量的主要影响,岩石圈厚度变化主要影响熔融发生的深度范围。这些研究结果表明软流圈温度变化和岩石圈厚度变化有助于确定板内岩浆作用的空间分布。

图1 新近纪-第四纪板内火山分布。(a)深度为150±25km全球剪切波速度异常平均值(ΔVs)层析成像结果来自 SL2013sv模型。黄色圆圈:年龄< 10 Ma 且喷发距离< 400 km的板内岩浆样品。(b)利用 SL2013sv 层析模型的1175 ℃ 等温面交点计算岩石圈厚度的空间变化。①②③④分别标识北美洲西部、南美洲最南部、澳大利亚东部以及北非的高海拔的平缓倾斜的晚白垩纪-新生代海相地层出露(Ball et al., 2021)

图2 空间和地球化学相关性。(a)在150 ± 25 km深处,剪切波速度负异常累积面积的百分比。其中黑曲线:全球的累积面积百分比,红曲线:火山样品分布区域中剪切波速度负异常的累积面积百分比。黑/红色虚线:Δvs < 0 km/s的全球表面和板内火山活动的百分比。(b)薄岩石圈累积面积Σa百分比。黑色/红色曲线:薄岩石圈在全球和板内火山样品分布区的累积面积百分比; 黑色/红色带数字的虚线:全球或板内火山活动区中岩石圈厚度 < 100公里的累计面积百分比;(c)La/Sm 与Δvs (150±25 km) 的相关性;(d)在不同深度La/Sm 与Δvs的相关系数的变化;(e) 在不同深度岩石圈厚度与Δvs的相关系数的变化(Ball et al., 2021)
作者还利用地球化学反演方法获得软流圈温度和岩石圈厚度,惊喜地发现在全球范围内的反演结果与SL2013sv层析成像模(Schaeffer et al., 2013)Vs-T校准的软流圈温度和岩石圈厚度相匹配,且软流圈温度较高的区域与岩石圈异常薄的区域一致,例如:La/Sm和ΔVs的最低值对应在冰岛地幔柱,而在Eifel (EF)和Central Arabia (CA)之间逐渐下降,在Afar(AF)地区又再次增加(图 3)。软流圈温度变化ΔTp和地球化学与地震层析成像分别计算的岩石圈厚度都有相应一致的变化趋势(图 3)。

图3 计算温度变化、岩石圈厚度变化和动力学地形之间的关系。(a)分别由地球化学反演模型和SL2013sv地震层析成像模型计算的ΔTp的关系图;(b)由 SL2013sv 层析模型计算的深度为150 ± 25km 时的ΔTp平均值的空间变化图;(c)根据(b)中穿过冰岛(IC)、北海(NS)、埃菲尔(EF)、安纳托利亚(AN)、阿拉伯中部(CA)、阿法尔(AF)和坦桑尼亚(TZ)的横切面x-x’绘制的海拔图,蓝色多边形为隆升的新生代海洋地层,(d)、(e)和(f)都沿x-x’绘制;(d)红色曲线:SL2013sv 层析成像模型计算的150 ± 25km 深处Δvs 的平均值,白圈:平均分布在距离剖面小于200 km的1°范围平均的La/Sm观测值,红圈:样本数>5的La/Sm值;(e)彩条:根据 SL2013sv 层析模型计算出150 ± 25km深度的ΔTp 平均值。(f)黑线:SL2013sv层析模型计算的岩石圈厚度沿x-x’的变化,带数条的圆圈:地球化学模拟确定的岩石圈厚度±1.5倍的最小失配度,蓝色方框:基于岩石圈地幔减薄和上地幔热异常,根据海相岩石的海拔估计的现今岩石圈厚度(Ball et al., 2021)
最后,作者将地球化学、地震层析成像研究结果与动力学地形的实际观测联系,发现在多个板内火山活跃的地区(北美洲西部、南美洲最南端、澳大利亚东部和北非)海相地层在新近纪-第四纪都经历了显著的区域性隆升,认为地表动力学地形的产生可能是岩石圈厚度减薄与软流圈温度升高主导的。
结合以上的研究结果和分析,Ball et al.(2021) 对于板内火山岩的地球化学性质与地震层析成像模型之间的联系的定量研究,避免了活动边界上的各种复杂因素的影响,建立起了新近纪至第四纪板内火山作用、软流圈温度正异常以及岩石圈厚度异常薄的全球相关性,进一步补充了全球洋中脊地区的相关研究成果(Dalton et al., 2014)。研究成果还强调了软流圈温度变化与岩石圈厚度变化对动力学地形的时空演变有着深远的影响。由于板内火山作用贯穿整个岩石记录,火成岩和地层学的联合分析将有助于进一步探索整个显生宙地幔对流和地表过程的演化历史。
主要参考文献
Ball P, White N, Maclennan J, et al. Global influence of mantle temperature and plate thickness on intraplate volcanism[J]. Nature communications, 2021, 12(1): 1-13.(原文链接)
Dalton C A, Langmuir C H, Gale A. Geophysical and geochemical evidence for deep temperature variations beneath mid-ocean ridges[J]. Science, 2014, 344(6179): 80-83.
Lowman J. Mantle Convection in the Earth and Planets[J]. Geophysical Journal International, 2002, 150: 827-827.
McKenzie D, Jackson J, Priestley K. Thermal structure of oceanic and continental lithosphere[J]. Earth and Planetary Science Letters, 2005, 233(3): 337-349.
Priestley K, McKenzie D. The thermal structure of the lithosphere from shear wave velocities[J]. Earth and Planetary Science Letters, 2006, 244(1-2): 285-301.
Schaeffer A, Lebedev S. Global shear speed structure of the upper mantle and transition zone[J]. Geophysical Journal International, 2013, 194(1): 417-449.
Wiens D A, Kelley K A, Plank T. Mantle temperature variations beneath back-arc spreading centers inferred from seismology, petrology, and bathymetry[J]. Earth and Planetary Science Letters, 2006, 248(1-2): 30-42.
(撰稿:李聃聃,田小波/岩石圈室)