2009年的哥本哈根气候会议之后, 减排温室气体成为全世界最热门的话题,大量学者展开了对碳循环的研究工作。在碳循环中,有两个重要概念,碳源和碳汇。根据政府间气候专门委员会(IPCC)的有关定义,碳源是向空气中释放二氧化碳等温室气体的场所,碳汇是指从空气中吸收二氧化碳等温室气体的系统或区域。
近年来,一些科学家对其他人类活动是否显著地增加了碳排放进行了深入的研究,其中,水库这一人工水利设施成为新的研究热点。同一般的内陆水生生态系统一样,水库水体二氧化碳是过饱和的,全球水库每年向大气中排放约800tg二氧化碳当量(Deemer et al.,2016)。由于水库的温室气体排放可能影响灌溉和水电生产的碳足迹,因此其被视为碳中性能量。此外,水库可从集水区和库区内积累有机物从而实现碳埋藏,且研究表明水库比天然湖泊埋藏碳的速率更高。据前人估计,全球范围内,水库中有机碳(OC)的埋藏率超过了水库中碳的排放率(Mendonca et al.,2017),即水库为碳汇。
然而,受水文动力学和水管理的双重驱动,水库的水位不断变化,被水淹没的土地周期性出露于水面,这一特殊区域被称为消落区。这对水库碳通量的估算有两个重要影响:1)计算基于水面的碳通量时必须考虑可变表面积;2)计算水库碳排放预算时必须考虑消落区的温室气体排放。尽管这一理论已被学术界广泛认同,但目前仍未被考虑到全球水库的碳通量计算中。
为了厘清全球水库消落区分布,将消落区碳排放纳入水库的碳排放预算,并最终纳入全球碳排放清单,德国亥姆霍兹环境研究中心Philipp S. Keller等在Nature Geoscience发表文章对这一问题进行了专项研究(Keller et al.,2021)。研究人员统计了1985~2015年期间全球范围内6794个水库每月消落区的空间范围(图1),结果表明,以月为单位,水库消落区面积占总水库面积的9%~15%;全球水库并非完全充满水,其中约有15%的面积是干涸的;消落区面积与水库规模密切相关,小规模水库的消落区面积更大,且规模100 km2到1000 km2之间的水库的消落区面积总计12349 km2,占总消落区面积的28%。

图1 全球6749个水库消落区分布图
(Keller et al.,2021)
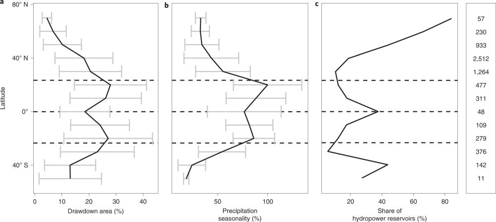
研究发现,全球范围内消落区面积分布不均(图1),水库年平均消落区面积与纬度相关(图2a),在高纬度地区的水库中,典型消落区面积较小;而在接近热带地区的水库中,消落区的面积较大。根据纬度的不同,总消落区面积具有明显的季节性,对于位于40°N和90°N之间的水库,年最大消落区面积出现在秋季,而对于位于10°N和40°N之间以及10°S和60°S之间的水库,则出现夏季或春季。同时,消落区的面积分布也受水库类型的影响,一般用于灌溉或防洪的水库消落区的面积较大,水电水库的消落区面积往往较小,因此高纬度地区的水电水库所占比例越大,高纬度地区的消落区面积也越小(图2c)。在此基础上,研究人员采用逐步多元线性回归(MLR)方法分析了气候变量(降水季节性、年平均温度、水压)和人为因素的变量(最大面积、主要用途)对消落区面积的影响,确定了影响消落区面积的驱动因素。

图2 消落区的纬度分布及影响参数 (Keller et al.,2021)。(a)水库平均消落区面积;(b)降水季节性;(c)水电水库占水库总数的比重。数据被分成10°纬度区间。数据为平均值±标准差(a,b)。虚线表示北回归线、赤道和南回归线。右边方框中的数字表示每个纬度库的总储层数
目前,全球水库温室气体排放量的计算方法为全球平均温室气体排放速率乘以全球水库面积,这一方法仅仅是基于水生温室气体的排放,且计算过程中假设所有的水库都被完全填满。但在水库消落区,干燥的水生沉积物可以排放大量的二氧化碳(Keller et al., 2020)。因此,基于全球水库消落区的时空分布特征,分别考虑水库被水淹没区域和干燥区域的碳排放率,研究人员重新估计了全球水库的二氧化碳排放量,结果显示最新的全球水库二氧化碳排放量比原来增加了53%。前人认为,全球范围内水库的碳排放是其埋藏碳的1.26(0.66-2.58)倍(Mendonca et al.,2017),然而, Keller等人的研究表明通过计算消落区面积对气态碳排放(包括干燥地区)和有机碳掩埋(计算中减去干燥地区)的影响,发现全球排放-埋藏比可大幅增加至2.02 (1.04-4.26) (图3)。这表明考虑消落区面积的影响,全球水库的气态碳排放量将大大超过有机碳埋藏,尤其是在未来全球水库消落区面积增加的情况下(图3)。因此,在全球碳循环过程中,水库更倾向于碳源,而非碳汇。

图3 全球水库中气态碳排放和有机碳掩埋(Keller et al.,2021)
Keller等人的研究揭示了水库消落区对全球碳循环的重大影响,对全球碳预算体系的升级提出了新的要求。然而本文中部分数据量较小,部分研究内容仍未细化,例如不同气候区之间内陆干旱水域的二氧化碳通量变化如何,消落区碳排放的季节性变动和长期动态变化是怎样的,不同水库基于消落区面积的碳排放和有机碳埋藏过程是怎样变化的等等。同时,本文的研究表明,水库水位管理可能是控制水库碳排放和最大限度减少温室气体来源的有力手段。
主要参考文献
Keller P S, Marcé R, Obrador B, et al. Global carbon budget of reservoirs is overturned by the quantification of drawdown areas[J]. Nature Geoscience, 2021, 14: 402-408.(原文链接)
Deemer B R, Harrison J A, Li S, et al. Greenhouse gas emissions from reservoir water surfaces: a new global synthesis[J]. BioScience, 2016, 66(11): 949-964.
Mendonca R, Müller R A, Clow D, et al. Organic carbon burial in global lakes and reservoirs[J]. Nature Communications, 2017, 8: 1694.
Keller P S, Catalán N, von Schiller D, et al. Global CO2 emissions from dry inland waters share common drivers across ecosystems[J]. Nature Communications, 2020, 11: 2126.
(撰稿:祁生文/页岩气与工程室)