碳是生命活动的基础,也是影响地球环境和气候变化的重要因素。作为宇宙中丰度排名第四的元素,碳的作用绝不仅仅局限在地球表面,相当数量的含碳物质存在于地球的深部。它们对一系列深部过程,如俯冲板块矿物脱水、深部地幔熔融等地球动力学过程有深远的影响。考虑到地核的巨大质量和铁碳之间密切的联系,地核长期被认为是地球上最大的碳储库。然而,地核形成于地球内部金属与硅酸盐地幔的分异,而对于高温高压条件下碳在金属核和硅酸盐地幔之间分配关系还缺少可靠的约束,学界对于地核的具体碳含量还存在很大的争议。
近日,哈佛大学的Fischer et al. (2020)通过激光加热金刚石压腔实验模拟了早期地球核幔分异的环境,测量了高温高压条件下碳在金属-硅酸盐两相之间的分配关系,发现在实验条件下碳与铁结合的能力,即所谓的亲铁性,比之前的估计值要低。结合多阶段地核形成模型,他们认为地核中的碳的重量百分比在0.09%到0.20%之间。尽管这一估计值不会改变地核作为地球最大碳储库的地位,但较低的碳含量意味着碳对地核密度和组成的影响要比原先估计的更小。在利用新数据确定了地核的碳含量之后,通过考察不同挥发分的含量关系,Fischer等人对早期地球的初始物质来源给出了制约,提出地球的挥发分主要来自于碳质球粒陨石。相关成果发表在PNAS上。
地核中的轻元素一直是深部研究的热点问题。根据地球物理资料,地核的密度大约要比相同温压条件下的铁镍合金低,说明其中应当包含有相当数量的“轻”元素,常见的猜测有硅、氧、硫、碳等等。作为地表铁合金中的常见组分,地核中的碳含量一直受到广泛的重视,前人的研究表明,含碳的地核在内核波速等方面和地球物理结果具有很好的一致性。然而,之前对于地核中含碳量多利用地球化学和宇宙化学相结合的办法,通过不易进入地核的元素(亲石元素)和易于进入地核的元素(亲铁元素)的比例来估算给出,具有较大的不确定性,不同模型给出的估计值从0.2%到4%不等。这其中关键的数据之一就是核幔分异条件下碳在硅酸盐和铁合金之间的分配比例,即所谓的配分系数。早期的实验结果认为碳是极为亲铁的元素,铁核中的碳含量可以达到硅酸盐熔体中的1000-60000倍。然而,这些实验最高只达到15 GPa,2573 K的温压条件,显著低于可能的核幔分异平均温压条件,从而影响了对地核碳含量的准确估计。
Fischer等人将橄榄石、铁、镍、石墨等样品封闭在高压的金刚石压腔中,利用激光加热样品到完全熔融,从而实现了4200-5200 K、37-59 GPa的高温高压环境以模拟核幔分异的条件(图1)。利用电子探针和纳米离子探针对回收样品两相(硅酸盐、铁镍合金)中的碳含量进行分析,结果显示铁镍合金中的碳含量仅是硅酸盐中的1-100倍。

图1 激光加热金刚石压腔回收样品的背散射图像(A)和12C含量(C),外侧为硅酸盐,中心为铁镍合金相(Fischer et al., 2020)
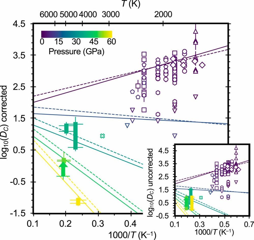
综合前人数据分析,Fischer等人认为碳的分配系数是温度、压力、氧逸度和硅酸盐非桥氧比例(NBO/T)的函数。尽管在低压条件(1-5 GPa)下碳的分配系数随压力增加略有增加,但在12-15 GPa以上的高压条件下,碳的分配系数随压力的增加而显著降低,碳进入金属相的能力不及预期(图2)。碳在地核中的含量较之前估计的要低。

图2 不同温度压力条件下碳在金属和硅酸盐中的分配系数(Fischer et al., 2020)
以新测定的分配系数为基础,Fischer等人结合分异模型探讨了地核中可能的碳含量,在多阶段分异模型中,模型给出的结果显示地核中的碳含量仅有0.09%到0.20 wt%(图3),这一含量的碳对地核密度和其它性质的影响有限,但仍占全地球碳储量的78%-89%。

图3 地核中的含碳量和含氧量随核幔分异压力参数的变化(Fischer et al., 2020)
基于最新的地核碳含量估计,综合考虑不同挥发分在地球核幔分离过程中的行为,尤其是碳/硫的比例和分配并对比不同类型已知陨石的挥发份含量,Fischer等人提出全球的碳/硫比例约0.12-0.25,考虑到地球形成过程中可能的挥发分丢失,这一比例与碳质球粒陨石的组成相似,从而支持碳质球粒陨石为地球主要挥发分来源的主张。
值得一提的是,Fischer等人的最新实验测量结果与我所张毅刚研究员在2012年(Zhang and Yin, 2012)采用第一原理分子动力学这一量子力学理论计算方法给出的预测极为接近。这些工作将前人碳的分配系数降低了大概两个数量级,显示了压力对偏挥发性元素配分的巨大影响,使得我们对地球及其地核碳含量取得了全新的认识。这一新的认知进一步影响了我们对地球总成分、地球物质来源、地球形成过程的认识。
【致谢:感谢张毅刚研究员对本文提出的宝贵修改建议。】
主要参考文献
Fischer R A, Cottrell E, Hauri E, et al. The carbon content of Earth and its core[J]. Proceedings of the National Academy of Sciences, 2020, 117(16): 8743-8749.(链接)
Zhang Y, Yin Q Z. Carbon and other light element contents in the Earth’s core based on first-principles molecular dynamics[J]. Proceedings of the National Academy of Sciences, 2012, 109(48): 19579-19583.(链接)
(撰稿:张驰/地星室)