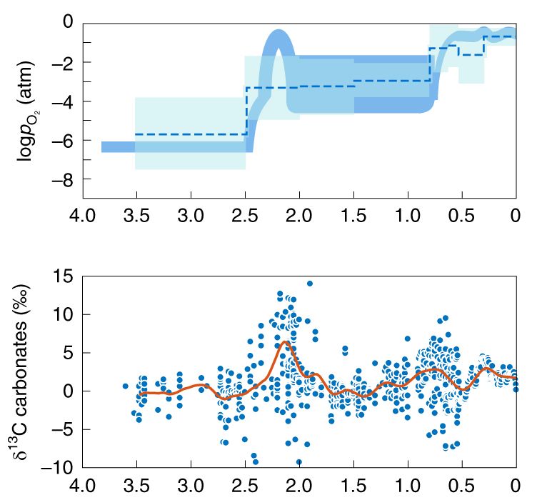
二氧化碳和氧气是影响地球宜居性的两种关键气体。从地球诞生到现今宜居地球的形成,现有的大气成分是三十几亿年以来光合作用和化学合成作用能量存储的结果(汪品先等,2018):在距今23亿年前,地球大气中的氧气含量很低(~0.001%),CO2-H2O混合大气浓厚(Lyons et al., 2014),类似今天的金星大气;然而在~23-20亿年左右,大气中的氧含量增长了若干个数量级,上升到现今水平的15%左右。这个重要的环境转折事件被地球科学家称为大氧化事件(Great Oxidation event,GOE)。地球科学家同时发现,紧随大氧化事件之后,海相碳酸岩的碳同位素δ13C曲线产生了大约10‰正漂移,这个事件则被称为Lomagundi事件。
图1 地球大气中氧气(a)和碳同位素δ13C (b)随地质时间的演化(Eguchi et al., 2020)
基于大氧化事件和Lomagundi事件的时间关联性,以往的研究通常认为这两个事件有一个共同机制,就是有机碳埋藏比例增加(Duncan and Dasgupta, 2017),而有机碳的埋藏量增大的根源在于地球内部构造活动的演化。其逻辑链条为:当地球的构造活动转化成以俯冲模式为主后,俯冲板块携带了更多的有机碳进入地球深部,导致深部有机碳埋藏量增加,导致O2在大气中的含量提升,也导致海相碳酸岩13C同位素增长。近期加州大学Riverside分校Eguchi et al.(2020)发表在Nature Geosciences的论文提出反驳:Lomagundi事件相对大氧化事件毕竟有1亿年的时间延迟,单一机制无法同时解释这两个事件。基于碳同位素分析,他们认为大氧化事件与Lomagundi事件由深部碳循环和增强的去气作用共同导致。
1. 增强的去气作用
设定大气输入的CO2对同位素漂移贡献值为
,它满足
(1)
其中:
为碳酸岩碳同位素值,
为有机碳碳同位素值,
为埋藏碳中有机碳的百分比。
为了便于读者理解,我们将方程(1)改写为:
(2)
其中:
是碳同位素在碳酸岩和有机碳中的分馏差,其大致保持恒定,且值
‰。这个公式表明,如果
保持不变,则增加
导致
增加,这种情况对应于传统的模型,可解释Lomagundi碳同位素正漂移。
Eguchi等基于公式(2)对传统的解释提出了质疑:当
与
均保持不变时,如果增加大气中的CO2输入量,也能导致
变大。
大气中的CO2输入有三个喷发来源,分别是洋岛玄武岩(OIB)、洋中脊玄武岩(MORB)以及岛弧岩浆岩:
(3)
地球化学观测证据表明:
(Marty and Zimmermann, 1999),
(Mason et al., 2017),
的研究程度相对较低,没有确定的数值,但通常认为大致其与
接近,甚至负漂更大。从公式(3)可以看出,如果增加
,则
偏向岩浆成因CO2同位素特征偏移。
地球化学证据表明,在现今的俯冲带碳循环系统中,
的负漂取决于有机碳百分比的增加(图2a),但碳酸岩的喷发效率比有机碳的高,其负漂的幅度可以被碳酸岩喷发效率轻微抵消。在大氧化事件时期,可以断定当时地幔的温度比现今高(自元古代以来,地球地幔的温度每1亿年,降低6-11°C;Van Avendonk et al., 2016),在高温环境下,碳酸岩的喷发效率比有机碳的更高(图2b),因此
漂移受碳酸岩的影响更大。

图2 (a) 现今俯冲系统中,
与俯冲板片中有机碳百分比的关系;(b)古俯冲带的P-T曲线(Eguchi et al., 2020)
2. 深部碳循环的影响
高地幔温度条件下,更强的碳酸岩排气导致俯冲板片更加富集有机碳。有机碳以难溶的石墨或金刚石的相态,可以被俯冲板片携带到地幔深部甚至是核幔边界,这使得地幔深部成因的洋岛玄武岩更加富集有机碳。由于这个喷发过程延迟于俯冲过程(取决于地幔柱的喷发时间),因此可以导致海相碳酸岩的碳同位素δ13C曲线在经历正漂移之后能回归到正常水平(~0‰)。

图3 深部碳循环及其碳同位素特征的卡通图(Eguchi et al., 2020)
3. 新模型的逻辑链条
基于上述讨论,Eguchi等开展了碳-氧盒子模型实验,采用模拟方法演算了深部碳循环和增强的去气作用可以先后驱动大氧化事件和Lomagundi事件,模拟结果能很好地匹配观测结果。总的说来,新模型的逻辑链条是:
距今25亿年,地球逐步转化为板块构造——陆地面积增加,冰期作用(Gumsley et a., 2017)导致含水沉积物增大,促进板块边界弱化——促进板块俯冲加强——碳埋藏量增加,火山CO2喷发量增加——(碳酸岩的喷发效率比有机碳的高)大气中氧气量增加,δ13C曲线产生了~10‰正漂移——俯冲碳停留在核幔边界,延迟的地幔柱作用使得δ13C曲线回归正常
如何将不同圈层、不同时间尺度的过程连接起来,分析其耦合作用,这是地球系统科学面临的挑战(汪品先等,2018)。碳循环无疑是一个重要的连接过程,是地球系统科学研究的有效切入点。Eguchi等的研究用碳循环将海相碳酸岩碳同位素、大气氧含量演变和板块构造演化结合起来,提供了一个很好的研究范例。本研究并未展示新的观测证据,但通过在分析中引入碳同位素的配分模型,为解释大氧化事件和Lomagundi事件提供了新的视角,挑战了传统认识。
|
术语备注:
(1) 碳同位素δ13C:研究大气中二氧化碳和氧气的演化最常用的表征参数。地球的碳库由碳酸岩和有机碳组成。相对无机成因的碳酸岩,有机物在合成碳时通常优选较轻的12C,因此其碳同位素δ13C值相对低。增加有机碳的比例可以使得剩下的碳酸岩相对富集13C。在文献中的定义为:δ13Creports carbon isotopes as the ratio of the heavy13Cisotope relative to the lighter12Cisotope relative to a standard in units of parts per thousand (Mason et al., 2017). The typical values for differences source are:
mantle: -6.0 ±2.0 ‰
sedimentary organic carbon: <-20 to -40 ‰
Carbonate carbon: ~ 0 ‰
(2) Lomaguindi event: In the wake of GOE,marine carbonates underwent a large positive spike in carbon isotope ratios |
主要参考文献
汪品先, 田军, 黄恩清等. 地球系统与演变.北京:科学出版社,2018.
Duncan M S, Dasgupta R. Rise of Earth’s atmospheric oxygen controlled by efficient subduction of organic carbon[J]. Nature Geoscience, 2017, 10(5): 387-392.(链接)
Eguchi J, Seales J, Dasgupta R. Great Oxidation and Lomagundi events linked by deep cycling and enhanced degassing of carbon[J]. Nature Geoscience, 2020, 13: 71-76.(链接)
Gumsley A P, Chamberlain K R, Bleeker W, et al. Timing and tempo of the Great Oxidation Event[J]. Proceedings of the National Academy of Sciences, 2017, 114(8): 1811-1816.(链接)
Marty B, Zimmermann L. Volatiles (He, C, N, Ar) in mid-ocean ridge basalts: Assesment of shallow-level fractionation and characterization of source composition[J]. Geochimica et Cosmochimica Acta, 1999, 63(21): 3619-3633.(链接)
Mason E, Edmonds M, Turchyn A V. Remobilization of crustal carbon may dominate volcanic arc emissions[J]. Science, 2017, 357(6348): 290-294.(链接)
Lyons T W, Reinhard C T, Planavsky N J. The rise of oxygen in Earth's early ocean and atmosphere[J]. Nature, 2014, 506(7488): 307-315.(链接)
Van Avendonk H J A, Davis J K, Harding J L, et al. Decrease in oceanic crustal thickness since the breakup of Pangaea[J]. Nature Geoscience, 2017, 10: 58-61.(链接)
(撰稿:赵亮/岩石圈室)