报告人:Albrecht W. Hofmann | 整理:林音铮、刘 通(岩石圈室)
|
摘 要:在经历大撞击引发的岩浆海事件之后,地球开始分异形成不同的圈层。地核首先分离,剩余的硅酸岩地球再进一步分异出地幔和地壳。原始地幔继而发生熔融,熔体抽取形成陆壳后,残留下来的地幔就被称为亏损地幔。原始地幔在多大程度上参与了陆壳的形成,即亏损地幔在整个地幔中的所占比例,仍然是尚未解决的重要问题。亏损地幔的规模和组成对于理解地球分异、壳幔演化等科学问题非常关键。前人已通过大量的研究通过不同手段来估算亏损地幔的占比,但结果仍存在争议。9月20日下午,著名地球化学家Albrecht W. Hofmann教授应邀来我所进行学术访问,并作了题为“A New Look at Size and Composition of the Depleted Mantle”的学术前沿报告。在报告中,Hofmann对亏损地幔的尺度及组成进行了重新评估,认为亏损地幔在整个地幔中的占比远大于原来的认识,其组成则不如原来所认为的那么亏损,并推测存在一个“隐藏的”或“消失的”早期富集地幔端元。 |
一、问题的提出
1. 亏损地幔的现有认识
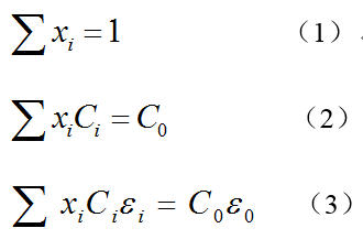
从地球化学角度而言,硅酸岩地球大致由原始地幔、亏损地幔和陆壳三个储库组成(图1),其中亏损地幔是原始地幔发生熔体抽取形成陆壳后的残留。Jacobsen and Wasserburg(1979)利用现今陆壳的Nd同位素组成和亏损的Nd同位素组成(由MORB的Nd同位素代表)进行估算,结果显示大约有30%的原始地幔参与了陆壳的形成,表明亏损地幔占全地幔的30%。Davies(1981)则根据质量守恒原理,建立公式(1)-公式(3),其中x为各端元的质量分数,Ci为各元素的含量,ε为同位素组成,利用εNd值进行计算可以得到各端元占全地幔的比例以及其中所有微量元素的含量。结果显示亏损地幔占全地幔的比例不超过30%。


图1 硅酸盐地球理想模型(Korenaga, 2008)
不同学者(Salters and Stracke, 2004; Workman and Hart, 2005)的估算结果都支持:相对于原始地幔而言,亏损地幔强烈亏损包括Th、U在内的不相容元素(图2)。

图2 亏损地幔的微量元素相对原始地幔标准化图(自Hofmann教授报告PPT)
2. 问题的提出
根据前人所估算亏损地幔的大小,其大致对应660 km不连续带之上软流圈地幔,代表了大洋中脊玄武岩(MORB)的源区。根据这一模型,660 km不连续带之下的下地幔没有发生熔融亏损,也没有参与到陆壳的形成,因此上地幔和下地幔是分层对流的。但众多的地球物理观测结果显示俯冲板块明显穿透地幔过渡带进入下地幔,从而不支持地幔分层对流(Grand et al., 1997;French and Romanowicz, 2015)。另一方面,前人利用陆壳的Nd同位素来推测亏损地幔的大小值得商榷。这一方法最主要的问题是忽略了洋壳抽取对于陆壳Nd同位素的影响,因为洋壳抽取会改变亏损地幔的Sm/Nd比值。将MORB的εNd值对Sm/Nd比值作图,可以得到一定的弱相关性,而这种相关性与陆壳的Nd同位素组成之间并无关联(图3)。因此,亏损地幔Sm/Nd比值的变化不仅由陆壳的分离造成,还受到洋壳分离的影响。洋壳形成是地球上最主要的岩浆过程,其规模远大于陆壳,因此仅借助大陆地壳进行简单的Nd同位素模拟计算并由此推算亏损地幔的尺度无疑是片面的。这样的问题在Pb同位素中同样存在,因此放射性同位素可能并不是探讨陆壳从地幔中分离的有效参数,需要寻找新的示踪手段。

图3 MORB的εNd值-Sm/Nd比值图(自Hofmann教授报告PPT)
二、重新评估亏损地幔
1. 新视角——孪生元素对比值
由于放射性同位素在陆壳和洋壳分离过程中均会发生变化,因此很难用来有效地区分陆壳和洋壳的形成过程。但是有些微量元素在地幔熔融过程中具有非常接近的配分系数,它们的比值在洋壳形成过程中并不发生明显的分馏,而在陆壳形成过程中发生明显的分馏。这样具有非常相似配分系数的微量元素包括Nb和Ta、Ce和Pb、Nb和U等,它们的比值(Nb/Ta、Ce/Pb、Nb/U等)也被称为孪生元素对比值(canonical ratio;图4)。因此,亏损地幔这些孪生元素对的比值等同于大洋中脊玄武岩和洋岛玄武岩的比值。

图4 MORB玻璃微量元素对比值-La/Yb图(数据来自Jenner and O’Neill, 2012)
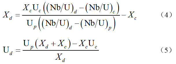
根据硅酸盐地球中三个储库之间的质量守恒关系(公式(3)),利用孪生元素对Nb/Ta比值代替Nd同位素比值可以更好地估算亏损地幔的大小。以Nb/U比值为例,得到公式(4)-公式(5),式中c、p及d分别代表大陆地壳、原始地幔及亏损地幔三个硅酸盐地球端元。结果显示亏损地幔在全地幔中所占比例约在60%-80%,远高于原来认为的30%。

2. 消失的地幔端元?
从上面的结果可以看出,利用孪生元素对比值和Nd同位素获得的亏损地幔大小差异非常大,那么这两者的差别是否能够调和?值得注意的是,Nd同位素估算只考虑了MORB的Nd同位素组成,而孪生元素对比值则考虑了具有相同比值的MORB和OIB。MORB和OIB的εNd值分别大概在8.5和5左右,因此MORB和OIB地幔源区的平均εNd值应该在5-8之间。根据MORB和OIB的Nd同位素共同计算的亏损地幔也仅占全部地幔的30%-40%,仍然低于利用孪生元素对比值所获得的结果,两者的差异表明地球内部存在一个εNd值≤3的亏损地幔(图5)。

图5 大陆地壳和亏损地幔的εNd值及亏损地幔比例的对应关系(自Hofmann教授报告PPT)
根据146Sm-142Nd同位素体系的研究,在地球形成后非常短的时期,地幔经历了一次分异事件,分别形成早期富集端元(EER, early enriched reservoir)和早期亏损地幔(EDR,early depleted reservoir)。早期亏损地幔演化到现在的εNd值为3-4,符合孪生元素对比值所需的“隐藏”地幔储库。在演化模型(图6)中可以看到,EER端元有比较低的εNd值并且会随演化不断减小,EDR的εNd值则会不断上升,从EDR储库中分离出陆壳后,残余地幔的εNd值会上升更多。简单的模拟结果显示,球粒陨石质地幔发生10%-12%的部分熔融,形成的熔体抽取大约2%-3%(EER),就会形成类似于现今地幔(εNd值=3.5)的EDR。

图6 可能的四端元硅酸盐地球演化模型(自Hofmann教授报告PPT)
那么如果这样一个早期的富集地幔端元真的存在,它应该以何种方式储存,又为何从未被检测到?Hofmann认为它可能来自于早期富集基性地壳的深俯冲,并埋藏在地幔底部的LLSVPs(巨大低剪切波速度区,large low shear velocity mantle provinces);另一种可能是这个富集储库在早期经历来自地外物质的激烈撞击,从而溅出地外并消失了,但这些都仍缺乏观测的证据。
如果这样一个“隐藏”的地幔储库确实存在,硅酸盐地球应该包括4个储库,即(1)早期的富集储库(消失或埋藏);(2)早期的亏损储库,以及由早期亏损储库分异得到的(3)大陆地壳和(4)残余地幔(对应原来三储库模型中的亏损地幔端元)。
3. 亏损地幔的尺度和组成
Hofmann认为Salters和Workman的模型将上部地幔分离出来,认为它长时间内处于非常亏损的状态,是默认了地幔的分层对流。地震学的结果显示上下地幔不断地发生着物质交换和成分变化,因此不会存在独立的亏损上地幔端元。根据孪生元素对比值进行重新估算,得到亏损地幔中不相容元素相对于原始地幔的亏损程度比原来认识的要小得多(图7)。
利用洋壳岩石Nb/U比值对EDR进行和之前一样的质量守恒计算,甚至可以得到80-100%的亏损地幔比例!这个结果和Nd同位素,也和Nb,Ta,Pb微量元素相符,即使考虑Nb/U比值一定的不确定性,仍然能够得到相似的结果(图8),说明亏损地幔在地幔中的占比非常高,几乎是整个地幔。

图7 不同模型计算得到的亏损地幔微量元素含量(自Hofmann教授报告PPT)

图8 考虑洋壳岩石Nb/U比值不确定性计算的亏损地幔比例(自Hofmann教授报告PPT)
主要参考文献
Davies G F. Earth's neodymium budget and structure and evolution of the mantle[J]. Nature, 1981, 290(5803): 208.(链接)
French S W, Romanowicz B. Broad plumes rooted at the base of the Earth's mantle beneath major hotspots[J]. Nature, 2015, 525(7567): 95.(链接)
Grand S P, van der Hilst R D, Widiyantoro S. High resolution global tomography: a snapshot of convection in the Earth[J]. Geological Society of America Today, 1997, 7(4). (链接)
Jacobsen S B, Wasserburg G J. The mean age of mantle and crustal reservoirs[J]. Journal of Geophysical Research: Solid Earth, 1979, 84(B13): 7411-7427.(链接)
Jenner F E, O'Neill H S C. Analysis of 60 elements in 616 ocean floor basaltic glasses[J]. Geochemistry, Geophysics, Geosystems, 2012, 13(2).(链接)
Korenaga J. Urey ratio and the structure and evolution of Earth's mantle[J]. Reviews of Geophysics, 2008, 46(2).(链接)
Salters V J M, Stracke A. Composition of the depleted mantle[J]. Geochemistry, Geophysics, Geosystems, 2004, 5(5).(链接)
Workman R K, Hart S R. Major and trace element composition of the depleted MORB mantle (DMM)[J]. Earth and Planetary Science Letters, 2005, 231(1-2): 53-72.(链接)