报告人:报告人:Ian Jackson | 整理:付博烨、魏佳(地星室)
| 摘 要:上地幔处于高压环境,矿物流变作用明显,穿过的地震波极易发生衰减,研究上地幔矿物在高温高压环境下对地震波的影响具有重要意义。Ian Jackson教授团队通过宽频带强迫振动高温高压矿物物理实验,还原了上地幔的温度环境,研究了在上地幔温度条件下矿物的流变学性质以及对地震波的影响,为进一步对上地幔结构进行精细刻画奠定了基础。 |
1.引 言
大家上午好,今天我报告的题目是“Laboratory measurements of high-temperature viscoelastic relaxation with application to the seismic properties of the Earth’s upper mantle”。地震层析成像方法已发展了30余年,它所获取的地球深部速度模型为我们认识地球动力学过程提供了重要依据。首先,我们来看上地幔地震速度结构(图1),它显示了150 km深度处的澳大利亚剪切波速度结构,其中绿色表示该区域剪切波速度高于局部平均值。这种高速或低速异常通常被认为代表了比平均温度高或低的温度异常。图2显示了全球上地幔逆品质因子(注:Q值的倒数,1/Q)的分布,其中红色部分的逆品质因子高于全球平均值,蓝色部分低于全球平均值。这也表示红色部分对地震波的衰减作用更大,而蓝色部分对地震波的衰减作用较小。

图1 澳大利亚上地幔速度结构模型

图2 全球上地幔逆品质因子的分布
地震波速度以及衰减性质的差异,代表了上地幔结构中温度、压力的差异。在过去的几十年中,我的研究团队通过高温宽频带强迫振动矿物物理实验,测量了上地幔温度环境下的地震波在不同频率下的衰减以及速度变化,希望能够为通过地震波速度频散和能量衰减刻画上地幔温度、压力环境提供实验依据。
图3是我们实验研究所用仪器的示意图,通过该实验仪器,我们能够控制样品所处温度、压力环境以及强迫振动的频率,从而定量地研究不同温度条件下上地幔矿物的速度频散及能量衰减等性质。

图3 宽频带高温强迫振动实验装置
2. 实验测量
由于上地幔主要组成矿物为干岩石,因此我们的实验样品主要为人工合成的橄榄石集合体。我们研究了矿物颗粒尺度与位错密度、矿物含水以及部分熔融对上地幔中传播的地震波的速度频散、能量衰减产生的影响。
首先研究了矿物颗粒尺度对地震波速度频散和衰减的影响。通过控制矿物颗粒尺度,合成了矿物颗粒尺度不同的橄榄石集合体,测量了不同颗粒尺度橄榄石集合体的地震波速度频散与衰减特征,如图4所示。根据图4中的现象,我们发现随着矿物颗粒尺度的减小,矿物集合体的速度频散以及能量衰减在不断增加。

图4 不同颗粒尺度矿物集合体的模量频散及衰减曲线
一般认为,在矿物颗粒边界处会发生如图5所示的弹性、滞弹性以及粘弹性三种性质的作用,并且随着作用力的增加,颗粒边界之间的相互作用会向着粘弹性作用发展,从而造成衰减。由于颗粒尺度的下降,会导致颗粒边界密度的增加,这也就导致随着颗粒尺度的减小,矿物集合体的速度频散以及能量衰减作用的增强。

图5 颗粒边界作用示意图
之后,我们继续研究了含水矿物集合体对地震波频散以及衰减作用的影响,从而研究大洋中脊中地震波的频散以及衰减特征。我们通过Fo90Ti的加水实验(图6)发现,矿物集合体含水能够极大的增大地震波的衰减和频散作用,根据研究,我们认为这个现象主要是由于水分子增加了矿物原子结构的缺陷导致的。

图6 Fo90Ti强迫振动实验
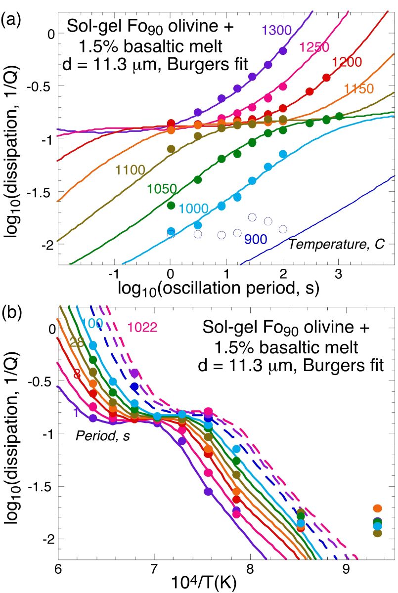
最后,我们研究了高温条件下部分熔融对矿物集合体速度频散和能量衰减的影响。如图7所示,我们在人工橄榄石集合体中掺入易发生熔融的金属颗粒,并且在高温环境下,使样品发生熔融。进行强迫振动实验后发现(图8),随着温度的提高,部分熔融现象增加,从而会导致矿物集合体内部发生金属流体的喷射流动,造成衰减和频散的增加。

图7 人工橄榄石集合体

图8 部分熔融强迫振动实验
3.结 论
上地幔中存在矿物颗粒的细粒化,矿物含水及部分熔融等现象。我们通过实验证明了以下结论:强迫振动实验装置能够研究上地幔环境下,矿物集合体的频散和衰减性质;我们通过改变集合体粒径,往矿物集合体中加水及部分熔融等实验,得到了颗粒尺度、矿物含水以及部分熔融对矿物集合体频散和衰减性质影响的大小;部分熔融引起的衰减,主要是由熔融金属的喷射流动引起的;强迫振动实验装置能够清晰的研究不同机制对矿物集合体衰减和频散特征的影响,进而精确地分析上地幔矿物对地震波的频散和衰减作用,是研究上地幔结构特征的重要手段。
主要参考文献
Cline II C J, Faul U H, David E C, et al. Redox-influenced seismic properties of upper-mantle olivine[J]. Nature, 2018, 555(7696): 355.(链接)
Dalton C A, Ekstr?m G, Dziewoński A M. The global attenuation structure of the upper mantle[J]. Journal of Geophysical Research: Solid Earth, 2008, 113(B9). (链接)
Jackson I, Faul U H. Grainsize-sensitive viscoelastic relaxation in olivine: Towards a robust laboratory-based model for seismological application[J]. Physics of the Earth and Planetary Interiors, 2010, 183(1-2): 151-163. (链接)
Jackson I, Faul U H, Fitz Gerald J D, et al. Shear wave attenuation and dispersion in melt‐bearing olivine polycrystals: 1. Specimen fabrication and mechanical testing[J]. Journal of Geophysical Research: Solid Earth, 2004, 109(B6).(链接)
Jackson I, Schijns H, Schmitt D R, et al. A versatile facility for laboratory studies of viscoelastic and poroelastic behaviour of rocks[J]. Review of Scientific Instruments, 2011, 82(6): 064501. (链接)
Kennett B L N, Fichtner A, Fishwick S, et al. Australian seismological reference model (AuSREM): mantle component[J]. Geophysical Journal International, 2012, 192(2): 871-887.(链接)