莫霍不连续面指地壳和上地幔之间的分界面,由克罗地亚地震学家莫霍洛维奇于1909年发现。传统观点认为,莫霍面同时也是磁性地壳和非磁性地幔之间的磁性不连续分界面。常见的磁性矿物如赤铁矿(α-Fe2O3)、磁铁矿(Fe3O4)等都有一个特殊的转换温度,称为尼尔温度(针对赤铁矿等反铁磁性矿物)或者居里温度(针对磁铁矿等铁磁性矿物),在该温度之上磁性矿物中的电子自旋变得无序排列,使得磁性矿物失去磁性。常压下赤铁矿的尼尔温度为~675 ℃,而磁铁矿的居里温度为~580 ℃。因此,传统观点认为在地幔的高温环境下磁性矿物是没有磁性的。均一的无磁性地幔是地磁反演的基础,然而这一前提假设近来被多项观测质疑。例如,航磁和卫星磁测结果提供了越来越多的地幔磁异常证据,尤其是在低热流通量的俯冲带和克拉通地区(Blakely et al., 2005; Chiozzi et al., 2005)。同时,地幔捕掳体中剩磁的发现(Ferré et al., 2013)也支持地球的磁性界面可能比之前认为的要深。但是深部磁异常的来源以及他们对磁记录的贡献目前还存在很多未知。
铁氧化物转换温度高,是深部磁异常最可能的物质来源。磁铁矿是浅部(<300 km)主要磁性矿物,是洋底地幔橄榄岩蛇纹石化和洋中脊玄武岩热液转化的副产物。如果水岩比足够大,磁铁矿将进一步氧化为赤铁矿,形成几千米厚的氧化层,其生长仅受洋壳海水渗透率影响。该岩相随洋壳的俯冲导致铁氧化物进入地幔。随深度增加,磁铁矿的稳定性取决于>10 Gpa和>1000 K条件下其分解为等摩尔赤铁矿和Fe4O5的情况,二者只有在~20 Gpa条件下才重新结合生成一种新的高压相磁铁矿,使得300-600 km处赤铁矿是主导磁性矿物。然而,由于实验条件技术限制,对相关温压条件下赤铁矿类质同象间磁性转换的研究目前还很薄弱。
以德国明斯特大学矿物学研究所I. Kupenko教授为首的研究团队于2019年6月在Nature上发表论文,他们对高温高压条件下赤铁矿类质同象间的磁性转换过程开展详细研究,结果发现赤铁矿在冷俯冲地幔温压条件下仍能保持磁性,从而在西太平洋区域形成深部磁化岩石区,且发现该深部磁源分布范围与之前认为的地磁场倒转期间地磁极移动路径吻合,从而对传统认识提出新的解释机制,认为目前观测到的地磁场倒转期间地磁极按特定路径移动的现象可能只是本文新发现的深部磁化岩石造成的假象。
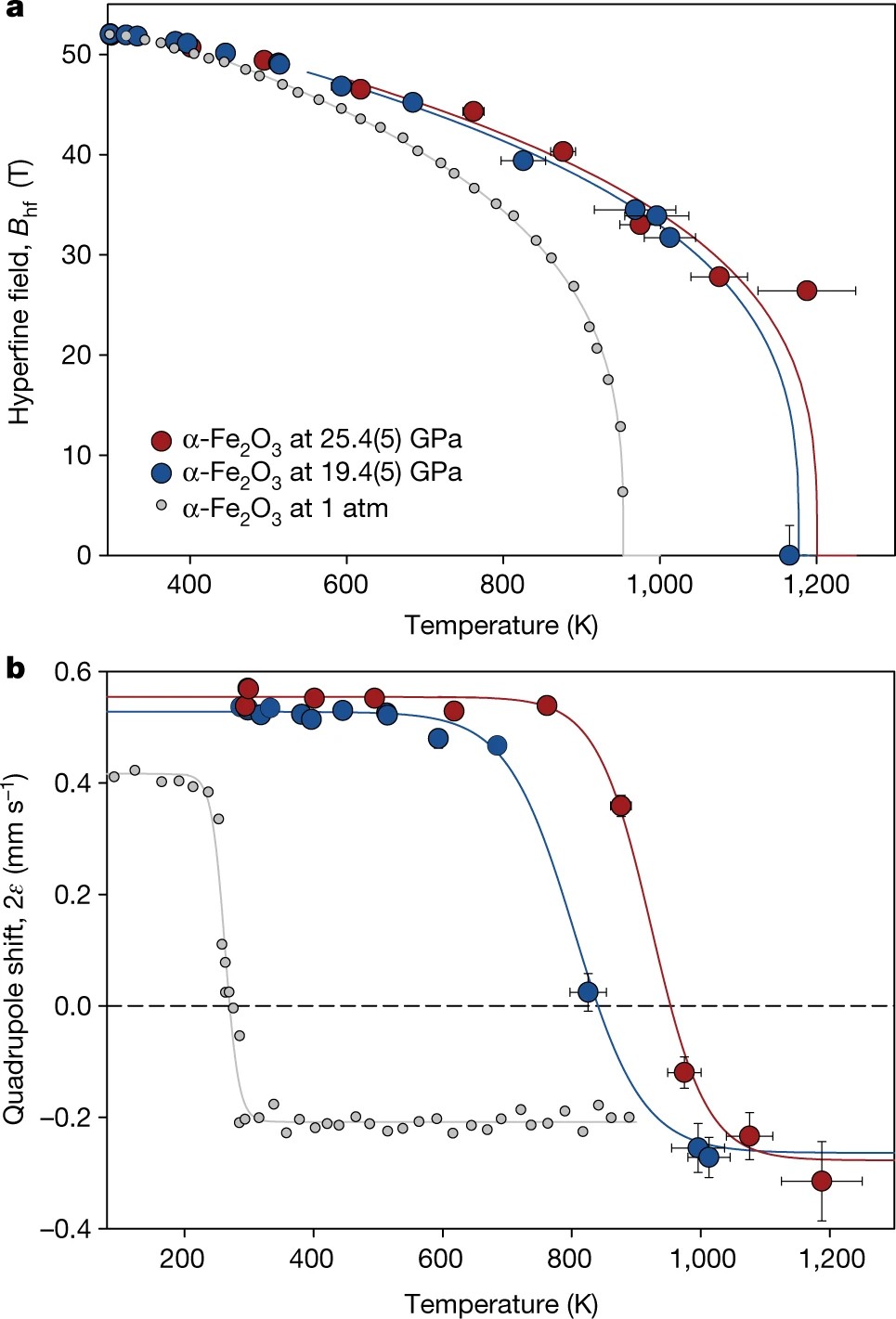
Kupenko教授等采用同步穆斯堡尔谱分析与激光加热相结合的方法研究不同温压条件下赤铁矿类质同象间的磁性转换,研究温度范围为300-1300 K,压力高达90 GPa。根据不同温度和压力条件下赤铁矿各类质同象的穆斯堡尔谱可以获得其超精细参数,通过分析穆斯堡尔超精细参数随温度的变化可以推算赤铁矿各类质同象间的转换温度(Tc)。他们采用亚晶格磁化法获得各类质同象超精细磁场随温度的变化,从而推算其尼尔温度(TN)。该方法计算得到的α-Fe2O3在~19.4 和~25.4 GPa条件下的尼尔温度分别为~1190 和~1215 K(图1a)。他们的结果同时也可以估算赤铁矿在不同压力条件下的穆林转变温度(TM)。已有研究发现α-Fe2O3的穆斯堡尔四极移参数ε在经过穆林转变温度时会减半并改变符号,根据ε随温度变化拟合曲线推算出的α-Fe2O3的穆林转变温度在~19.4 和~25.4 GPa条件下分别为~820 和~940 K(图1b)。这些结果显示赤铁矿在地幔转换带的压力条件下,在超过~1200 K的温度下仍保持磁性,而这样的低温只有在板块俯冲的冷异常区才会出现。

图1 α-Fe2O3的关键温度。a.特定压力下α-Fe2O3的超精细磁场随温度变化,尼尔温度通过拟合亚晶格磁化法实验中0.5Tc-0.99Tc之间数据获得;b.特定压力下四极移参数ε随温度变化,α-Fe2O3的ε在经过穆林转变温度时会减半并改变符号,从而可以推算穆林转变温度(Kupenko et al., 2019)
为了进一步研究深部磁性赤铁矿的赋存状态及其与深部磁源的关系,作者计算了俯冲带56条剖面的温度分布,并与磁性赤铁矿的稳定磁场进行对比。结果显示赤铁矿的尼尔温度高于Salomon和Tonga等冷或非常冷俯冲板块的温度,而且这些板块的温度在300-600 km深度时仍高于赤铁矿的穆林转换温度(图2)。图3中标出~500 km深度温度低于赤铁矿尼尔温度的俯冲区域(绿色五角星),大部分俯冲区位于西太平洋,在地幔转换带有可能形成电磁弧,很可能是该区域观测到的磁异常的深部磁源。赤铁矿的磁信号强度以及它在俯冲岩石中的含量将决定它对观测到的磁异常的贡献以及对古地磁记录的影响。赤铁矿在低场时可以获得近饱和的剩磁,~0.5 A m2 kg-1,是等量磁铁矿感应磁化强度的10-15倍,在低于转换温度100 K时仅减少10%。而且,赤铁矿产生的磁异常可能通过两种过程被加强:一是赤铁矿的霍普金森效应,指的是在Tc附近,赤铁矿感应磁化率有一个急剧增强的变化,且外加磁场越弱,霍普金森效应越明显,在地球深部相对弱的磁场环境下,在Tc附近赤铁矿感应磁化率可以增强数个量级。增强的磁化率导致岩石磁导率增加,从而使得地磁场产生的感应磁化强度增强;另外一种方式是赤铁矿-钛铁矿系列层状磁化效应可以产生异常强且稳定的天然剩磁,这种层状物质的饱和磁化强度可达纯赤铁矿的20倍,同时还保持赤铁矿的高矫顽力和热稳定性,但地幔转换带处赤铁矿的钛替代程度以及层状磁化程度目前仍不清楚。但不管怎样,这些结果说明,转换带处的赤铁矿含量有可能通过增强天然剩磁和感应磁化强度两种方式来影响地磁场。

图2 Fe2O3的磁相图。本文高压下的磁转换温度和van der Woude (1966)常压下的尼尔和穆林转换温度用实心符号表示,中子衍射研究得到的低于4 Gpa时的穆林转换温度用空心三角形表示,黑色实线代表数据拟合曲线,相界限定义参考Bykova et al. (2016)。ζ-Fe2O3稳定区的黑色阴影代表该相可能的转换温度范围,彩色线显示俯冲区压力-温度关系。结果显示α-Fe2O3在转换带处Salomon和Tonga等冷或非常冷俯冲板块区仍保持磁性(Kupenko et al., 2019)
通常我们通过在地表观测到的磁场信号来反演地球深部的磁异常,但大部分时候我们观测到的磁信号不仅受控于来自于地球内核的地磁场偶极分量和内源非偶极场的长波异常,有时还会受部分壳源短波异常的干扰。因此,只有在主磁场非常弱的情况下,这种转换带处含赤铁矿岩石的天然剩磁贡献才最容易被观测到。因此,作者选取了地质时期(11.5-12 ka至11 Ma)几次地磁场倒转和一次漂移期间的古地磁极位置与转换带处冷俯冲板块位置进行对比研究。之前对沉积物记录的古地磁研究发现地磁场倒转期间古地磁极位置有两条“优选”路径:一条位于美洲,另一条跟它对跖,位于欧亚大陆东缘(Laj et al., 1992)。而本文研究结果发现倒转期间西太平洋古地磁极分布区域与地幔转换带处赤铁矿产生的电磁异常区非常吻合(图3),说明300-600 km的磁化岩石层很可能影响了古地磁信号,使得看起来地磁场有“优选”的倒转路径。因此,作者提出之前发现的地磁场倒转“优选”路径很可能不能反映地磁转换场的真实形态,而只是地幔转换带冷俯冲区域被磁化的含赤铁矿岩石造成的假象。本文研究发现的深部磁异常或许对如火星这种目前没有地磁发电机的地外行星的磁学研究非常重要。

图3 磁转换期古地磁极位置分布图。~500 km深度温度低于赤铁矿尼尔温度的俯冲区域用绿色五角星表示。蓝色区域表示这些俯冲区500 km处P-波高速异常。红色圆点表示所选磁场倒转期的古地磁极移动路径,包括上奥杜威倒转(1.8 Ma)、6.5 Ma和 11 Ma的两次倒转、Blake事件(11.5-12 Ka)和一次漂移事件(Kupenko et al., 2019)
主要参考文献
Blakely R J, Brocher T M, Wells R E. Subduction-zone magnetic anomalies and implications for hydrated forearc mantle[J]. Geology, 2005, 33(6): 445-448.(原文链接)
Bykova E, Dubrovinsky L, Dubrovinskaia N, et al. Structural complexity of simple Fe2O3at high pressures and temperatures[J]. Nature Communications, 2016, 7: 10661.(原文链接)
Chiozzi P, Matsushima J, Okubo Y, et al. Curie-point depth from spectral analysis of magnetic data in central–southern Europe[J]. Physics of the Earth and Planetary Interiors, 2005, 152(4): 267-276.(原文链接)
Ferré E C, Friedman S A, Martín‐Hernández F, et al. The magnetism of mantle xenoliths and potential implications for sub‐Moho magnetic sources[J]. Geophysical Research Letters, 2013, 40(1): 105-110.(原文链接)
Kupenko I, Aprilis G, Vasiukov D M, et al. Magnetism in cold subducting slabs at mantle transition zone depths[J]. Nature, 2019, 570(7759): 102-106.(原文链接)
Laj C, Mazaud A, Weeks R, et al. Geomagnetic reversal paths[J]. Nature, 1992, 359(6391): 111-112.(原文链接)
Van der Woude F. M?ssbauer effect in α-Fe2O3[J]. Physica Status Solidi,1966, 17: 417–432.(原文链接)
(撰稿:蔡书慧/岩石圈室、徐慧茹/中国地质大学(武汉))