CaSiO3钙钛矿(以下简称CaPv)是地幔转换带(MTR,410-660km)和下地幔(660-2900 km)中的重要矿物组分。前人的计算模拟与高温高压实验均表明,CaPv在高压下会随温度的升高而从四方结构转变至立方结构,但对于该相变的温压边界以及立方结构CaPv的弹性波速还存在很大争议。从高温高压实验角度,立方结构CaPv不能淬火至常温常压,因而常规分析手段不再适用,而在同时高温高压条件下原位测量矿物的热弹性性质一直都是极具挑战的研究。
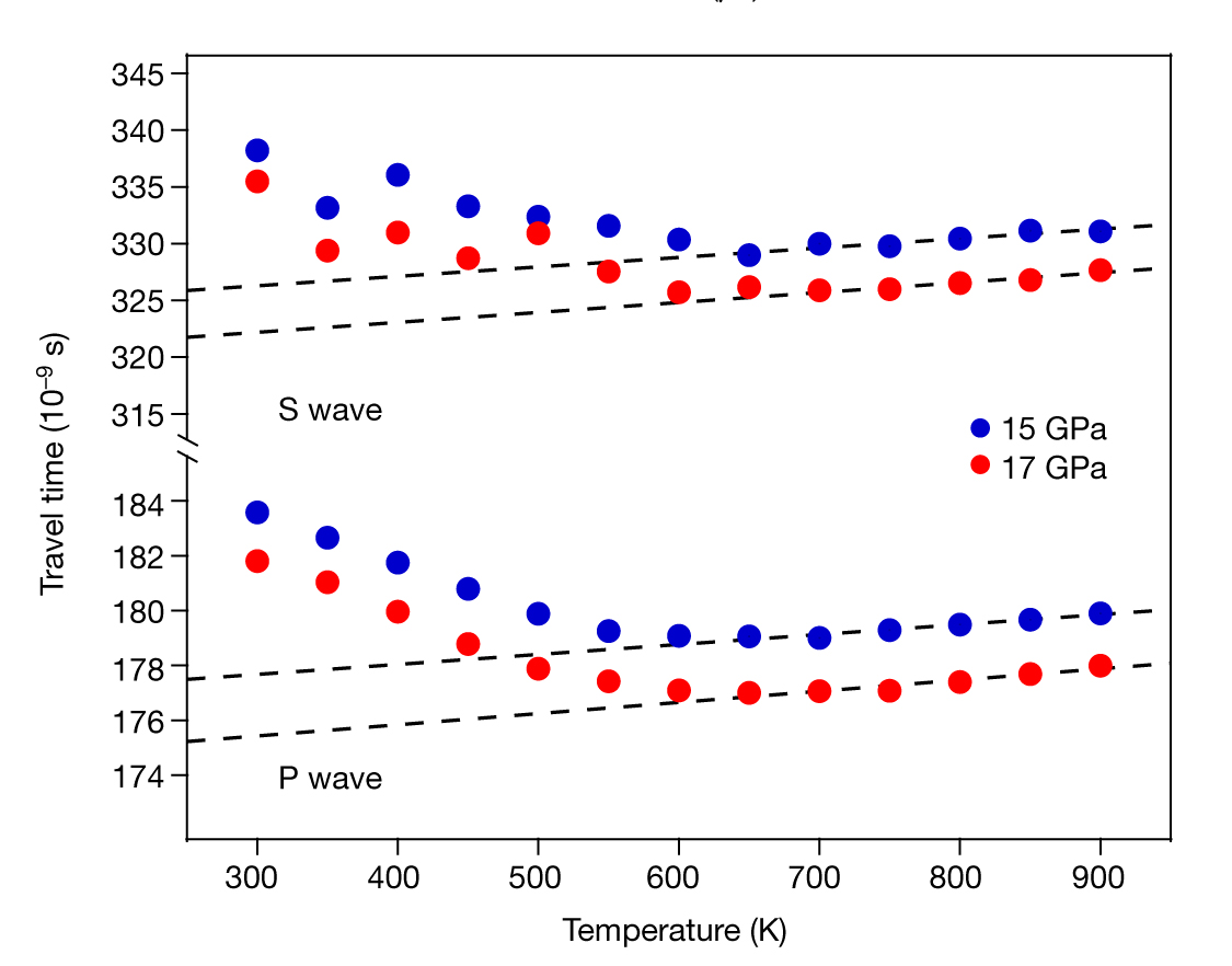
近日,日本爱媛大学的Steeve Gréaux等人在Nature上发表了实验原位测量CaPv声速的最新成果:他们首次在21GPa和1300K条件下原位合成了立方结构的CaPv样品,并且通过超声波干涉法和原位X射线衍射法测量了样品的波速和密度。一般来说,由于温度降低导致立方结构CaPv样品体积缩小,声波在样品上下表面的双向传播时间会随之缩短,但是Gréaux等人却发现温度降低到650K以下时,P波和S波的传播时间都明显延长了(图1),他们将此现象认为作为降温过程中CaPv从立方结构转变为四方结构的有力判据。

图1 高温高压下P波和S波穿过CaPv样品的传播时间
Gréaux等人进而对立方结构的CaPv开展了一系列高温声速原位测量工作。他们通过三阶有限应变状态方程来拟合这些数据(图2),得到了常压下立方结构CaPv的体积模量(KS0)和剪切模量(G0),对比发现该KS0值与理论预测值一致,但是G0远小于所有理论预测值(大约17%-26%)。虽然前人的一项计算研究中提出立方结构CaPv应当有更低的剪切模量(Kawai and Tsuchiya,2015),但他们预测的G0值仍然要明显高于本实验结果(大约高估了17%)。

图2 四方结构(a)和立方结构CaPv(b)的波速。图中蓝色实线表示四方结构CaPv的状态方程,虚线表示立方结构CaPv状态方程
Gréaux等人进一步地将他们的CaPv弹性数据和前人的实验研究结合起来,沿着地温曲线估算了各种地幔岩石模型的VP和VS值(图3)。他们认为510-600 km深度范围内方辉橄榄岩的含量逐渐增加,并且地幔转换带下部(600-660 km)以纯的方辉橄榄岩为主要成分,这能够很好地解释地幔岩(红线)的波速与地震观测模型(黑线)的偏差。而在下地幔顶部(660-770 km)区域,依据他们新的立方结构CaPv波速实验数据,Gréaux等人发现MORB的波速要明显低于地幔岩模型(图3),因此如果在地幔岩中混入20-30vol%的MORB,这可以大大降低该区域的波速并使之与地震观测模型相符。

图3 地幔转换带下部地幔岩、MORB和方辉橄榄岩成分的声速与代表性地震模型的比较。彩色带阴影实线显示了地幔岩(红色)、MORB(蓝色)和方辉橄榄岩(黄色)的纵向(VP)和剪切(VS)波速,黑色实线和虚线分别代表一维全球地震模型PREM和AK135
对于660-770 km区域地震观测模型明显低于地幔岩模型的解释,前人还提出过其它推断。例如,Schmandt等(2014)发现俯冲带含水橄榄石相变脱水,可能引发660公里以下的部分熔融,从而减小该区域的地震波速。这些推断也许并不矛盾,来自不同地区的样品似乎佐证着不同的可能性。例如,近期在天然金刚石中发现的CaPv包裹体(Nestola et al., 2018)可能为Gréaux等的推断提供了证据;而同样在金刚石包裹体中,Pearson等(2014)人发现了高水含量的林伍德石,Tschauner等(2018)甚至发现了高压水冰,这些发现则似乎为Schmandt等人的推断提供了支持。
主要参考文献
Gréaux S, Irifune T, Higo Y, et al. Sound velocity of CaSiO3 perovskite suggests the presence of basaltic crust in the Earth’s lower mantle[J]. Nature, 2019, 565:218-221.(原文链接)
Kawai K, Tsuchiya T. Small shear modulus of cubic CaSiO3 perovskite[J]. Geophysical Research Letters, 2015, 42(8):2718-2726.(原文链接)
Nestola F, Korolev N, Kopylova M, et al. CaSiO3 perovskite in diamond indicates the recycling of oceanic crust into the lower mantle[J]. Nature, 2018, 555(7695):237-241.(原文链接)
Pearson D, Brenker F, Nestola F, et al. Hydrous mantle transition zone indicated by ringwoodite included within diamond[J]. Nature, 2014, 507: 221-224.(原文链接)
Schmandt B, Jacobsen S, Becker T, et al. Dehydration melting at the top of the lower mantle[J]. Science, 2014, 344: 1265-1268.(原文链接)
Tschauner O, Huang S, Greenberg E, et al. Ice-VII inclusions in diamonds: Evidence for aqueous fluid in Earth’s deep mantle[J]. Science, 2018, 359: 1136-1139.(原文链接)
(撰稿:张志明,张志刚/地星室)